在上一篇《基于用户投票的排名算法(一)》中,我介绍了Hacker News的排名算法。它的特点是用户只能投赞成票,但是很多网站还允许用户投反对票。就是说,除了好评以外,你还可以给某篇文章差评。

Reddit是美国最大的网上社区,它的每个帖子前面都有向上和向下的箭头,分别表示"赞成"和"反对"。用户点击进行投票,Reddit根据投票结果,计算出最新的"热点文章排行榜"。
怎样才能将赞成票和反对票结合起来,计算出一段时间内最受欢迎的文章呢?如果文章A有100张赞成票、5张反对票,文章B有1000张赞成票、950张反对票,谁应该排在前面呢?
Reddit的程序是开源的,使用Python语言编写。排名算法的代码大致如下:

这段代码考虑了这样几个因素:
(1)帖子的新旧程度t
t=发贴时间 - 2005年12月8日7:46:43
t的单位为秒,用unix时间戳计算。不难看出,一旦帖子发表,t就是固定值,不会随时间改变,而且帖子越新,t值越大。至于2005年12月8日,应该是Reddit成立的时间。
(2)赞成票与反对票的差x
x=赞成票 - 反对票
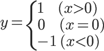
(3)投票方向y

y是一个符号变量,表示对文章的总体看法。如果赞成票居多,y就是+1;如果反对票居多,y就是-1;如果赞成票和反对票相等,y就是0。
(4)帖子的受肯定(否定)的程度z

z表示赞成票与反对票之间差额的绝对值。如果对某个帖子的评价,越是一边倒,z就越大。如果赞成票等于反对票,z就等于1。
结合以上几个变量,Reddit的最终得分计算公式如下:

这个公式可以分成两个部分来讨论:
(一)

这个部分表示,赞成票与反对票的差额z越大,得分越高。
需要注意的是,这里用的是以10为底的对数,意味着z=10可以得到1分,z=100可以得到2分。也就是说,前10个投票人与后90个投票人(乃至再后面900个投票人)的权重是一样的,即如果一个帖子特别受到欢迎,那么越到后面投赞成票,对得分越不会产生影响。
当赞成票等于反对票,z=1,因此这个部分等于0,也就是不产生得分。
(二)

这个部分表示,t越大,得分越高,即新帖子的得分会高于老帖子。它起到自动将老帖子的排名往下拉的作用。
分母的45000秒,等于12.5个小时,也就是说,后一天的帖子会比前一天的帖子多得2分。结合前一部分,可以得到结论,如果前一天的帖子在第二天还想保持原先的排名,在这一天里面,它的z值必须增加100倍(净赞成票增加100倍)。
y的作用是产生加分或减分。当赞成票超过反对票时,这一部分为正,起到加分作用;当赞成票少于反对票时,这一部分为负,起到减分作用;当两者相等,这一部分为0。这就保证了得到大量净赞成票的文章,会排在前列;赞成票与反对票接近或相等的文章,会排在后面;得到净反对票的文章,会排在最后(因为得分是负值)。
(三)
这种算法的一个问题是,对于那些有争议的文章(赞成票和反对票非常接近),它们不可能排到前列。假定同一时间有两个帖子发表,文章A有1张赞成票(发帖人投的)、0张反对票,文章B有1000张赞成票、1000张反对票,那么A的排名会高于B,这显然不合理。
结论就是,Reddit的排名,基本上由发帖时间决定,超级受欢迎的文章会排在最前面,一般性受欢迎的文章、有争议的文章都不会很靠前。这决定了Reddit是一个符合大众口味的社区,不是一个很激进、可以展示少数派想法的地方。
[参考资料]
* How Reddit ranking algorithms work
(完)
相关阅读:
基于用户投票的排名算法(一):Delicious和Hacker News
基于用户投票的排名算法(二):Reddit
基于用户投票的排名算法(三):Stack Overflow
基于用户投票的排名算法(四):牛顿冷却定律
基于用户投票的排名算法(五):威尔逊区间
基于用户投票的排名算法(六):贝叶斯平均
