本文所分享的知识点是【Machine Learning:PageRank算法】,欢迎您喜欢52ij所分享的新闻、攻略、电脑教程及手机知识等经验,下面是详细的讲解。
Machine Learning:PageRank算法

1. PageRank算法概述
PageRank,即网页排名,又称网页级别、Google左侧排名或佩奇排名。
在谷歌主导互联网搜索之前, 多数搜索引擎采用的排序方法, 是以被搜索词语在网页中的出现次数来决定排序——出现次数越多的网页排在越前面。 这个判据不能说毫无道理, 因为用户搜索一个词语, 通常表明对该词语感兴趣。 既然如此, 那该词语在网页中的出现次数越多, 就越有可能表示该网页是用户所需要的。
可惜的是,这个貌似合理的方法实际上却行不大通。 因为按照这种方法, 任何一个象祥林嫂一样翻来复去倒腾某些关键词的网页, 无论水平多烂, 一旦被搜索到, 都立刻会 “金榜题名”, 这简直就是广告及垃圾网页制造者的天堂。
是Google创始人拉里·佩奇和谢尔盖·布林于1997年构建早期的搜索系统原型时提出的链接分析算法,自从Google在商业上获得空前的成功后,该算法也成为其他搜索引擎和学术界十分关注的计算模型。目前很多重要的链接分析算法都是在PageRank算法基础上衍生出来的。
PageRank是Google用于用来标识网页的等级/重要性的一种方法,是Google用来衡量一个网站的好坏的唯一标准。在揉合了诸如Title标识和Keywords标识等所有其它因素之后,Google通过PageRank来调整结果,使那些更具“等级/重要性”的网页在搜索结果中另网站排名获得提升,从而提高搜索结果的相关性和质量。其级别从0到10级,10级为满分。PR值越高说明该网页越受欢迎(越重要)。
例如:一个PR值为1的网站表明这个网站不太具有流行度,而PR值为7到10则表明这个网站非常受欢迎(或者说极其重要)。一般PR值达到4,就算是一个不错的网站了。Google把自己的网站的PR值定到10,这说明Google这个网站是非常受欢迎的,也可以说这个网站非常重要。
2. 从入链数量到 PageRank
在PageRank提出之前,已经有研究者提出利用网页的入链数量来进行链接分析计算,这种入链方法假设一个网页的入链越多,则该网页越重要。早期的很多搜索引擎也采纳了入链数量作为链接分析方法,对于搜索引擎效果提升也有较明显的效果。 PageRank除了考虑到入链数量的影响,还参考了网页质量因素,两者相结合获得了更好的网页重要性评价标准。
对于某个互联网网页A来说,该网页PageRank的计算基于以下两个基本假设:
数量假设:在Web图模型中,如果一个页面节点接收到的其他网页指向的入链数量越多,那么这个页面越重要。
质量假设:指向页面A的入链质量不同,质量高的页面会通过链接向其他页面传递更多的权重。所以越是质量高的页面指向页面A,则页面A越重要。
利用以上两个假设,PageRank算法刚开始赋予每个网页相同的重要性得分,通过迭代递归计算来更新每个页面节点的PageRank得分,直到得分稳定为止。 PageRank计算得出的结果是网页的重要性评价,这和用户输入的查询是没有任何关系的,即算法是主题无关的。假设有一个搜索引擎,其相似度计算函数不考虑内容相似因素,完全采用PageRank来进行排序,那么这个搜索引擎的表现是什么样子的呢?这个搜索引擎对于任意不同的查询请求,返回的结果都是相同的,即返回PageRank值最高的页面。
3. PageRank算法原理
PageRank的计算充分利用了两个假设:数量假设和质量假设。步骤如下:
1)在初始阶段:网页通过链接关系构建起Web图,每个页面设置相同的PageRank值,通过若干轮的计算,会得到每个页面所获得的最终PageRank值。随着每一轮的计算进行,网页当前的PageRank值会不断得到更新。
2)在一轮中更新页面PageRank得分的计算方法:在一轮更新页面PageRank得分的计算中,每个页面将其当前的PageRank值平均分配到本页面包含的出链上,这样每个链接即获得了相应的权值。而每个页面将所有指向本页面的入链所传入的权值求和,即可得到新的PageRank得分。当每个页面都获得了更新后的PageRank值,就完成了一轮PageRank计算。
3.2 基本思想:
如果网页T存在一个指向网页A的连接,则表明T的所有者认为A比较重要,从而把T的一部分重要性得分赋予A。这个重要性得分值为:PR(T)/L(T)
其中PR(T)为T的PageRank值,L(T)为T的出链数
则A的PageRank值为一系列类似于T的页面重要性得分值的累加。
即一个页面的得票数由所有链向它的页面的重要性来决定,到一个页面的超链接相当于对该页投一票。一个页面的PageRank是由所有链向它的页面(链入页面)的重要性经过递归算法得到的。一个有较多链入的页面会有较高的等级,相反如果一个页面没有任何链入页面,那么它没有等级。
3.3 PageRank简单计算:
假设一个由只有4个页面组成的集合:A,B,C和D。如果所有页面都链向A,那么A的PR(PageRank)值将是B,C及D的和。

继续假设B也有链接到C,并且D也有链接到包括A的3个页面。一个页面不能投票2次。所以B给每个页面半票。以同样的逻辑,D投出的票只有三分之一算到了A的PageRank上。

换句话说,根据链出总数平分一个页面的PR值。

例子:
如图1 所示的例子来说明PageRank的具体计算过程。
注:相关网站建设技巧阅读请移步到建站教程频道。
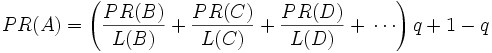
3.4 修正PageRank计算公式:
由于存在一些出链为0,也就是那些不链接任何其他网页的网, 也称为孤立网页,使得很多网页能被访问到。因此需要对 PageRank公式进行修正,即在简单公式的基础上增加了阻尼系数(damping factor)q, q一般取值q=0.85。
其意义是,在任意时刻,用户到达某页面后并继续向后浏览的概率。 1- q=0.15就是用户停止点击,随机跳到新URL的概率)的算法被用到了所有页面上,估算页面可能被上网者放入书签的概率。
最后,即所有这些被换算为一个百分比再乘上一个系数q。由于下面的算法,没有页面的PageRank会是0。所以,Google通过数学系统给了每个页面一个最小值。

这个公式就是.S Brin 和 L. Page 在《The Anatomy of a Large- scale Hypertextual Web Search Engine Computer Networks and ISDN Systems 》定义的公式。
所以一个页面的PageRank是由其他页面的PageRank计算得到。Google不断的重复计算每个页面的PageRank。如果给每个页面一个随机PageRank值(非0),那么经过不断的重复计算,这些页面的PR值会趋向于正常和稳定。这就是搜索引擎使用它的原因。
4. PageRank幂法计算(线性代数应用)
4.1 完整公式:
关于这节内容,可以查阅:《谷歌背后的数学》
首先求完整的公式:
Arvind Arasu 在《Junghoo Cho Hector Garcia - Molina, Andreas Paepcke, Sriram Raghavan. Searching the Web》 更加准确的表达为:

是被研究的页面,
是
链入页面的数量,
是
链出页面的数量,而N是所有页面的数量。
PageRank值是一个特殊矩阵中的特征向量。这个特征向量为:

R是如下等式的一个解:

如果网页i有指向网页j的一个链接,则
否则
=0。
4.2 使用幂法求PageRank
那我们PageRank 公式可以转换为求解
的值,
其中矩阵为 A= q × P + ( 1 一 q) *
/N 。 P 为概率转移矩阵,
为 n 维的全 1 行. 则
=

幂法计算过程如下:
X 设任意一个初始向量, 即设置初始每个网页的 PageRank值均。一般为1.
R=AX;
while (1 )
( if ( l X - R I <
)
{ //如果最后两次的结果近似或者相同,返回R return R;
}
else {
X=R; R=AX;
}
}
4.3 求解步骤:
一、 P概率转移矩阵的计算过程:
先建立一个网页间的链接关系的模型,即我们需要合适的数据结构表示页面间的连接关系。
1) 首先我们使用图的形式来表述网页之间关系:
现在假设只有四张网页集合:A、B、C,其抽象结构如下图1:

图1 网页间的链接关系
显然这个图是强连通的(从任一节点出发都可以到达另外任何一个节点)。
2)我们用矩阵表示连通图:
用邻接矩阵 P表示这个图中顶点关系 ,如果顶(页面)i向顶点(页面)j有链接情况 ,则pij = 1 ,否则pij = 0 。如图2所示。如果网页文件总数为N , 那么这个网页链接矩阵就是一个N x N 的矩 阵 。
注:相关网站建设技巧阅读请移步到建站教程频道。
3)网页链接概率矩阵
然后将每一行除以该行非零数字之和,即(每行非0数之和就是链接网个数)则得到新矩阵P’,如图3所示。 这个矩阵记录了 每个网页跳转到其他网页的概率,即其中i行j列的值表示用户从页面i 转到页面j的概率。图1 中A页面链向B、C,所以一个用户从A跳转到B、C的概率各为1/2。
4)概率转移矩阵P
采用P’ 的转置矩 阵进行计算, 也就是上面提到的概率转移矩阵P 。 如图4所示:


二、 A矩阵计算过程。
1)P概率转移矩阵 :

2)
/N 为:

3)A矩阵为:q × P + ( 1 一 q) *
/N=0.85 × P + 0.15 *
/N

初始每个网页的 PageRank值均为1 , 即X~t=( 1 , 1 , 1 ) 。
三、 循环迭代计算PageRank的过程
第一步:

因为X 与R的差别较大。 继续迭代。
第二步:

继续迭代这个过程...
直到最后两次的结果近似或者相同,即R最终收敛,R 约等于X,此时计算停止。最终的R 就是各个页面的 PageRank 值。
用幂法计算PageRank 值总是收敛的,即计算的次数是有限的。
Larry Page和Sergey Brin 两人从理论上证明了不论初始值如何选取,这种算法都保证了网页排名的估计值能收敛到他们的真实值。
由于互联网上网页的数量是巨大的,上面提到的二维矩阵从理论上讲有网页数目平方之多个元素。如果我们假定有十亿个网页,那么这个矩阵 就有一百亿亿个元素。这样大的矩阵相乘,计算量是非常大的。Larry Page和Sergey Brin两人利用稀疏矩阵计算的技巧,大大的简化了计算量。
5. PageRank算法优缺点
优点:
是一个与查询无关的静态算法,所有网页的PageRank值通过离线计算获得;有效减少在线查询时的计算量,极大降低了查询响应时间。
缺点:
1)人们的查询具有主题特征,PageRank忽略了主题相关性,导致结果的相关性和主题性降低
2)旧的页面等级会比新页面高。因为即使是非常好的新页面也不会有很多上游链接,除非它是某个站点的子站点。
注:
关于Machine Learning:PageRank算法的相关讨论如下:
相关问题:pagerank算法中这个公式如何理解
答:什么是PageRank,PageRank是简称PR。 PageRank是谷歌的网页重要性的评估; ?PageRank值可以改进,以提高您的网页排名在谷歌搜索引擎,但它并不意味着PR值越高,排名越靠前。有一些网站,PageRank并不高,但相比一些PageRank高的网站排名前也。所... >>详细
相关问题:pagerank简单算法
答:如果是百度的算法的话, 这会被判定为站群。 c是主站。 普通自己的搜索的话c会是主要权重。 打字不容易,感觉ok就给个好评采纳吧,谢谢。。。。。 >>详细
相关问题:数据挖掘算法有哪些
答:国际权威的学术组织the IEEE International Conference on Data Mining (ICDM) 2006年12月评选出了数据挖掘领域的十大经典算法:C4.5, k-Means, SVM, Apriori, EM, PageRank, AdaBoost, kNN, Naive Bayes, and CART. 不仅仅是选中的十大算法,其... >>详细
- 评论列表(网友评论仅供网友表达个人看法,并不表明本站同意其观点或证实其描述)
-

)