熵值法是一种客观赋权方法,在评价和决策时具有应用前景,本例分享如何利用Excel进行熵值法的应用。
前期准备工作(包括相关工具或所使用的原料等)
Excel理解熵值法
学习熵值法,熵值法是一种理论的数学方法,从计算机科学角度上看,属于一种算法。要运用熵值法当然要理解它,搞懂它。
熵值法原理: 熵的概念源于热力学,是对系统状态不确定性的一种度量。在信息论中,信息是系统有序程度的一种度量。而熵是系统无序程度的一种度量,两者绝对值相等,但符号相反。根据此性质,可以利用评价中各方案的固有信息,通过熵值法得到各个指标的信息熵,信息熵越小,信息的无序度越低,其信息的效用值越大,指标的权重越大。
具体的方法步骤见附图课件。




利用Excel进行熵值法计算求解
给出算例,题干是购买教车的一个决策矩阵,给出了四个方案供我们进行选择,每个方案中均有相同的六个属性,我们需要利用熵值法求出各属性的权重,级在方案中的贡献度。

一:求第j个属性下第i个方案Ai的贡献度,公式为附图一,在excel中,先求出各列的和,然后用每行的数值比上列和,形成新的矩阵,如附图2所示。


求出所有方案对属性Xj的贡献总量,用附图一所示的算法。在excel操作中,将刚才生成的矩阵每个元素变成每个元素与该ln(元素)的积,如附图2所示。


求出常数k,k为1/ln(方案数),本例中有4个方案,4中车的类型,所以求得k为
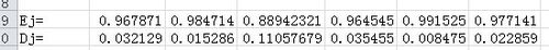
0.721348,再求k与新矩阵每一列和的乘积,这样获得的6个积为所有方案对属性xj的贡献度。至此所有的Ej就求出来了。

dj为第j属性下各方案贡献度的一致性程度。dj=1-Ej,利用上面求得的Ej,可以得到dj

各属性权重为对应的dj与所有dj和的商。dj的和为 0.22478 ,求得各属性的权重为 0.14 0.07 0.49 0.16 0.04 0.10

所以在购买汽车时,据所提供信息,利用熵值法计算得出的权重为油耗占14%,功率占7%,费用占49%,安全性占16%,维护性占4%,操作性占10%。故我们在进行购买决策时,更多是考虑车型的价格和安全性等重要因素。这是从权重角度考虑的。
就本例而言,每个车型每个指标的得分与其权重的乘积之和为其综合评价值,这样求得本田5.118分,奥迪18.32分,桑塔纳8.216分,别克12.495分。所以综合评价排序为奥迪、别克、桑塔纳、本田。
经验内容仅供参考,如果您需解决具体问题(尤其法律、医学等领域),建议您详细咨询相关领域专业人士。作者声明:本文系本人依照真实经历原创,未经许可,谢绝转载。
- 评论列表(网友评论仅供网友表达个人看法,并不表明本站同意其观点或证实其描述)
-
