°ì¹«Öо³£ÒªÓõ½³öÉúÄêÔÂÈÕ´óÁ¿Ìîд£¬±¾¾ÑéÈÃÄãÇáËÉÓÃÉí·ÝÖ¤ºÅ¿ìËÙÌáÈ¡¡£
ǰÆÚ×¼±¸¹¤×÷£¨°üÀ¨Ïà¹Ø¹¤¾ß»òËùʹÓõÄÔÁϵȣ©
Excel°ì¹«Èí¼þ¹«Ê½mid left value ×ÛºÏÓ¦ÓÃÏêϸµÄ²Ù×÷·½·¨»ò¾ßÌå²½Öè
ÊäÈëÉí·ÝÖ¤ºÅǰ×îºÃ°ÑÒªÊäÈëµÄµ¥Ôª¸ñÉèÖÃÀàÐÍΪÎı¾¸ñʽ£¬Ä¬ÈÏΪ³£¹æ

ÊäºÃºóµ¥Ôª¸ñ×óÉϽÇÓÐÂÌɫСÈý½Ç

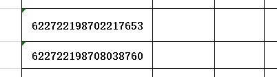
°ÑҪת»»µÄÉí·ÝÖ¤ºÅµ¥¶À¸´ÖƵ½±í¸ñ¿Õ°×´¦£¬µÚÒ»¸öÉí·ÝÖ¤ºÅÓÒ²àµÚÒ»¸öµ¥Ôª¸ñ´¦×ó¼üµ¥»÷£¬¿´ÏÂͼ£¬ÊäÈë=MID(B7,7,4) ,°´»Ø³µ¼üÈ·¶¨¡£¹«Ê½Òâ˼ÊÇ´ÓÉí·ÝÖ¤ºÅÖмäÈ¡×Ö·û£¬´ÓB7µ¥Ôª¸ñÈ¡£¬µÚ7¸öÊý×ÖΪҪȡµÃµÚÒ»¸ö×Ö·û£¬È¡4¸ö×Ö·û£¬µÃµ½"Äê"1987

ÒÀ´ÎÀàÍÆ£¬ÔÚD7µ¥Ôª¸ñÌáÈ¡³öÔ·Ý02£¬D7µ¥Ôª¸ñ¹«Ê½=MID£¨B7,11,2£©£¬»Ø³µ

ÒÀ´ÎÀàÍÆ£¬ÔÚF7µ¥Ôª¸ñÌáÈ¡³öÈÕ21£¬¿Õ³öE7ºóÃæÓ㬹«Ê½=MID(B7,13,2)£¬»Ø³µ

ÌáÈ¡³öµÄÔ·Ý02ΪÎı¾¸ñʽ£¬ºóÃæÁ¬½Ó³ÉÄêÔÂÈÕʱ²»Á¬¹á£¬ÎªÁËÁ¬¹á£¬ÎÒÃǰÑÎı¾Êý×Ö02ת»»ÎªÊýÖµ2£¬Óõ½¹«Ê½ÎªVALUE £¬°ÑD7ÖÐ02ת»»µ½E7ÖУ¬¹«Ê½Îª=VALUE(D7)£¬»Ø³µ

ÒÀ´ÎÀàÍÆ£¬°ÑF7ÖÐÎı¾21ת»»µ½G7ÖУ¬¹«Ê½Îª=VALUE(F7)

ÔÚH7µ¥Ôª¸ñÖкϳÉÄêÔÂÈÕ1987Äê2ÔÂ21ÈÕ¡£¹«Ê½Îª=C7&"Äê"&E7&"ÔÂ"&G7&"ÈÕ" »Ø³µ±ãºÃ¡£ÕâÀï&ÊÇÁ¬½Ó·û£¬shift¼ü+Êý×Ö7¼üÊäÈ룬¡°Äꡱ¡°Ô¡±¡°ÈÕ¡±ÒªÓÃÓ¢ÎÄ״̬ÒýºÅ

¹«Ê½±àºÃºó£¬Êó±êÍ϶¯Ñ¡ÖÐC7µ½H7£¬µ±Êó±êŲµ½H7ÓÒϽÅʱ£¬³öÏÖÍ϶¯±ú£¬ÏòÏÂÀµ½C9ËùÔÚÐУ¬ÏÂÃæµÄÉí·ÝÖ¤ºÅ¾Í¶¼×ª»»ºÃÁË¡£ÕâÑù£¬¼´Ê¹ÔÙ¶àµÄ³öÉúÄêÔÂÈÕÒ²²»ÅÂÁË¡£ ¼ÇµÃµãÔÞŶ£¡

- ExcelÉí·ÝÖ¤ºÅÌáÈ¡xxÄêxxÔÂxxÈÕ-Excel½Ì³Ì
- ExcelÀïÔõô¿ìËÙ¸øµ¥Ôª¸ñ¼Ó±ß¿òºÍµ×ÎÆ£¡-Ex
- ÔÚExcelÖÐÈçºÎ¶ÔÊý¾Ý½øÐÐÅÅÐò
- Excel Ó¦Óãº[2]Ìí¼Ó»ò¸ü¸Äҳü»òÒ³½ÅÎı¾-
- ʹÓÃWeb²éѯͬ²½¸üÐÂExcelÊý¾Ý-Excel½Ì³Ì
- ÔÚexcelÖÐÀûÓú¯Êý¿ìËÙÇó×ܺÍ
- ExcelÇóСÊýÖ®ºÍµÄ·½·¨-Excel½Ì³Ì
- ´ò¿ªExcel±í¸ñÌáʾÄÚ´æ²»×ã²»ÄÜÖ´ÐÐÏÔʾÔõ
- ÀûÓÃEXCEL±£´æ¹¤×÷Çø¹¦ÄÜͬʱ´ò¿ª¶à¸ö³£ÓÃ
- ExcelÖÐÈçºÎÓÃÏÂÀ¿ò²éѯÊý¾Ý-Excel½Ì³Ì
- ÆÀÂÛÁÐ±í£¨ÍøÓÑÆÀÂÛ½ö¹©ÍøÓѱí´ï¸öÈË¿´·¨£¬²¢²»±íÃ÷±¾Õ¾Í¬ÒâÆä¹Ûµã»ò֤ʵÆäÃèÊö£©
-
