时间:2016-04-04 19:15 来源: 我爱IT技术网 作者:佚名
EXCEL表格在工作中的应用数不胜数,特别是在数据的统计,归类方面,有其独特的优势。在工作中,对于2页以上的文档,如果要始终显示出前面的标题,而又在文件中体现不出来,只在打印的时候显示,如何设置呢?
前期准备工作(包括相关工具或所使用的原料等)
电脑,EXCEL,文件电脑,EXCEL,文件详细的操作方法或具体步骤
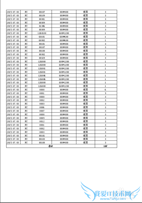
第一步:打开电脑,找到需要打印的文档,如我桌面上的“样板”这个文件

第二步:打开样板这个文件,可以看到里面的数据,打印预览的时候可以看到是有2页的,而且后面一页的前面没有显示出标题内容


第三步:点击“文件”——“页面设置”——“工作表”——“顶端标题行”后面的红色按钮,会出来一个页面设置-顶端标题行的界面,拖动鼠标,选择前面2行,按回车键,然后按确认键



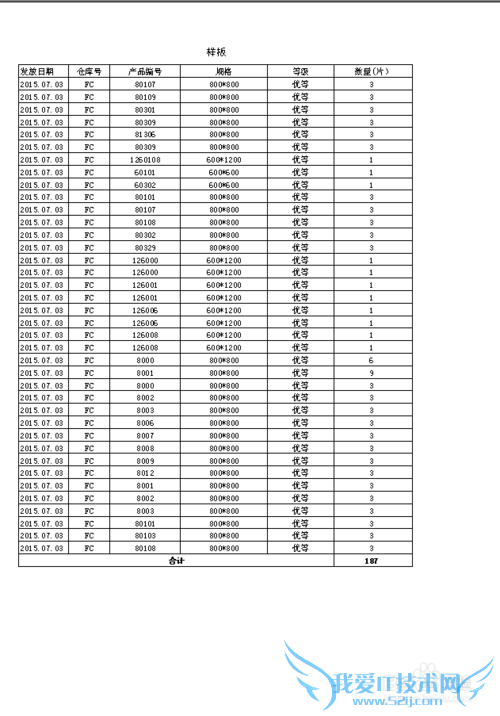
第四步:我们会看到打印预览的不一样了,第二页能够显示出前面2行的标题。

第五步:我们也可以用另外一个方式进入:点击EXCEL菜单栏上面的视图——页眉和页脚(H)——工作表,后面的就是一样的了



第六步:打印。这样就能设置出我们想要的效果了,方便操作吧
注意事项
在实际工作中,可以根据具体的情况选择要设置的行数和内容以上是由会上树的猪乐园根据实际的经验编写而成经验内容仅供参考,如果您需解决具体问题(尤其法律、医学等领域),建议您详细咨询相关领域专业人士。作者声明:本教程系本人依照真实经历原创,未经许可,谢绝转载。- 评论列表(网友评论仅供网友表达个人看法,并不表明本站同意其观点或证实其描述)
-
