同学们提问关于“气垫导轨实验原理_在气垫导轨上测量滑块的速度和加速度的实验中,误差可...[物理]”的问题,52IJ师说平台通过网络上精心整理了以下关于“气垫导轨实验原理_在气垫导轨上测量滑块的速度和加速度的实验中,误差可...[物理]”的一些有用参考答案。请注意:文中所谈及的内容不代表本站的真正观点,也请不要相信各种联系方式。下面是本网所整理的“气垫导轨实验原理_在气垫导轨上测量滑块的速度和加速度的实验中,误差可...[物理]”的相关信息:
在气垫导轨上测量滑块的速度和加速度的实验中,误差可...
科目:物理 关键词:气垫导轨实验原理偏小 气体的推动作用是很小的 因为气体设计是垂直导轨向上推动 当然由于制造误差 难免产生平行力 但对滑块的运动几乎不影响 使导轨水平 给滑块一个微小的速度 最后它会慢停下 这就说明推动力的影响肯定比空气阻力小 因此实验值偏小
一、气势导轨上喷出气的推动作用?楼主有点想当然了.它的喷孔是垂直空隙的,四面喷开比较均匀,哪来的推动作用?
二、空气摩擦阻力、粘滞阻力多数可以忽略,原因是我们通过调整导轨倾斜角度,大概抵消了这一影响.
三、真正影响值的,是测来的g并非真正的重力加速度,主要不是偶然误差,而是原理上的理论误差.g=G/m,问题是:这里的实际力F,并不等于重物的重力,而是小于重力;而质量,则大于重物质量(多了滑块质量).所以……结果是F小了,M+m大了,所以最后的a,明显偏小.
注意:偏小主要不是什么摩擦力的影响所致,而是实验原理不完善所致.
其他回答
可能有空气阻力(虽然说空气阻力很小但客观还是存在),其余的看你用了哪些实验器材 可能会有读数误差
其他类似问题
问题1:为了测定气垫导轨上滑块的加速度,在滑块上安装了宽度为3厘米的遮光板.滑块在牵引力作用下先后通过两个光电门,数值毫秒计记录了遮光板通过第一个光电门所用的时间为0.29秒,通过第二个[物理科目]
0.03m/0.29S=10.34cm/s
0.03m/0.11s=27.27cm/s
a=△V/△T=(27.27cm/s-10.34cm/s)/3.57s=4.74cm/s
楼主应该明白吧
问题2:为测定气垫导轨上滑块的加速度[物理科目]
有光电门吗?就是通过加速度定义式——a=(Vt-Vo)/t
时间与瞬时速度数据会在电脑上显示
问题3:;为了测定气垫导轨上滑块的加速度,滑块上安装了宽度为3厘米的遮光板,滑块在牵引力作用下先匀加速通过两个光电门,配套的数字毫秒计记录了遮光板通过第一个光电门的时间为0.3秒,通过[物理科目]
由于速度均匀变化,所以可以用首末速度的平均值,即1/2*(v1+v2)来表示平均速度,则s=1/2*(v1+v2)*t.
这是比较常用的计算平均速度的方法.
用X=V1t +1/2at2计算也可以,结果是一样的.两个公式可以互相推导.
【du教育】团队很荣幸为您答疑解惑!
问题4:某同学为了测定气垫导轨上滑块的加速度,他在滑块上安装了宽度为2厘米的遮光板.然后他利用气垫导轨和数值毫秒计记录了遮光板通过第一个光电门所用的时间为0.31秒,通过第二个光电门的[物理科目]
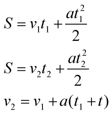
直接根据题意列方程 我用S代表0.02厘米 V1代表到达第一个光电门的初始速度 V2代表到达第二个光电门的初始速度 t1代表0.31S t2代表0.13秒 t代表3.6秒 a代表要求的加速度 这里假定加速度是恒定的(不是恒定的我就做不出来了)
S=v1t1+at1^2/2(^2是平方的意思)
s=v2t2+at2^2/2
v2=v1+at1+at
第一个方程是有未知初速度的第一个电门的路程方程 第二个同理 这个题难点估计就是初速度不知道是多少 所以就用第三个方程来算一下初速度 刚进第二个门的时候的初速度V2跟刚进第一个门的初速度V1时间上相差了通过第一个光电门的时间+中间的时间 联立方程 v2和a的二元方程组 就完事了
你可以画个数轴理解一下 我感觉我说明白了
0.02=0.31v1+0.31*0.31*a/2
0.02=0.13v2+0.13*0.13*a/2
v2=v1+0.31a+3.6a
太费劲了 我不算了!肯定能算出来了 头疼...
希望能够对你有所帮助
上面的公式太恶心了 给你贴个刚用WORD做出的公式

问题5:为测定气垫导轨上滑块的加速度,滑块上安装了宽度为3cm的遮光板.滑块在牵引力作用下先后通过两个光电门,配套的数字毫秒计记录了遮光板通过第一个光电门的时间为△t1=0.29s,通过第二个光[物理科目]
对,只有这样算,V1、V2都近似的代表了瞬时速度.
- 评论列表(网友评论仅供网友表达个人看法,并不表明本站同意其观点或证实其描述)
-
