同学们提问关于“刘维尔_刘维尔定理背后的思想是什么”的问题,52IJ师说平台通过网络上精心整理了以下关于“刘维尔_刘维尔定理背后的思想是什么”的一些有用参考答案。请注意:文中所谈及的内容不代表本站的真正观点,也请不要相信各种联系方式。下面是本网所整理的“刘维尔_刘维尔定理背后的思想是什么”的相关信息:
刘维尔定理背后的思想是什么
科目: 关键词:刘维尔http://baike.baidu.com/view/79519.htm
其他类似问题
问题1:刘维尔定理的证明,这一步看不懂,求详细的步骤 [数学科目]
分母应该是|z^(n+1)|,而不是z^(n+1),首先M作为常数拿到积分号外,用复数的指数表示法,z=re^(iθ),则dz=ire^(iθ)dθ=izdθ,|dz|=|z|dθ=rdθ,所以|dz|/|z^(n+1)|=rdθ/r^(n+1)=dθ/r^n,同时积分限变为0到2π.
问题2:怎么用刘维尔定理证明一个积分不可积举例说明一下[数学科目]
用刘维尔定理证明一个积分不可积往往比较困难.用刘维尔第三、第四定理可以证明∫e^(kx2)dx(k≠0)、∫e^(kx)/x dx(k≠0)、∫sinx/xdx、∫cosx/xdx、∫sin(x2)dx、∫cos(x2)dx等积分无法表示为初等函数.

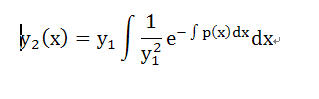
问题3:请问常微分方程中的刘维尔公式是什么?如题[政治科目]
设y1(x)是方程的解,那么图片的公式是方程的与y1(x)线性无关的解
方程是y"+p(x)y‘+q(x)y=0

问题4:怎么证明刘维尔定理:定理叙述如下:假设u是R^n上的有界调和函数,则u是常数.万分感谢![数学科目]
任取两点a和b,分别以a和b为球心,R为半径做两个闭球B_a和B_b
当R->+oo时,lim V(B_a\B_b)/V(B_a) = 0 (V表示体积)
也就是说两个球趋于重合
利用调和函数的均值性质,f(a)和f(b)分别是f在B_a和B_b上的平均值,
f在B_a∩B_b上的均值记为u,在B_a\B_b上的均值记为v,在B_b\B_a上的均值记为w
那么f(a) = [V(B_a∩B_b)*u + V(B_a\B_b)*v] / V(B_a)
f(b) = [V(B_a∩B_b)*u + V(B_b\B_a)*w] / V(B_b)
注意V(B_a)=V(B_b),V(B_a\B_b)=V(B_b\B_a),
所以f(a)-f(b)=V(B_a\B_b)/V(B_a) * (v-w)
当R->+oo时V(B_a\B_b)/V(B_a)->0,而(v-w)是有界量,所以f(a)-f(b) ->0,即f(a)=f(b)
问题5:请问刘维尔是什么人物啊
刘维尔(Joseph Liouville) 法国数学家,一生从事数学、力学和天文学的研究,涉足广泛,成果丰富,尤其对双周期椭圆函数、微分方程边值问题和数论中的超越数问题有深入研究.刘维尔研究了后来所谓的“刘维尔数”,并证明了其超越性,是第一个证实超越数的存在的人.他在数学研究中有很重要的学术贡献.
- 评论列表(网友评论仅供网友表达个人看法,并不表明本站同意其观点或证实其描述)
-
