欢迎您访问52IJ教育培训网,今天小编为你分享的师说方面的学习知识是通过网络精心收集整理的:“刘维尔定理_刘维尔定理背后的思想是什么”,注意:所整理内容不代表本站观点,如你有补充或疑问请在正文下方的评论处发表。下面是详细内容。
http://baike.baidu.com/view/79519.htm
其他类似问题
问题1:刘维尔定理的证明,这一步看不懂,求详细的步骤 [数学科目]
分母应该是|z^(n+1)|,而不是z^(n+1),首先M作为常数拿到积分号外,用复数的指数表示法,z=re^(iθ),则dz=ire^(iθ)dθ=izdθ,|dz|=|z|dθ=rdθ,所以|dz|/|z^(n+1)|=rdθ/r^(n+1)=dθ/r^n,同时积分限变为0到2π.
问题2:怎么用刘维尔定理证明一个积分不可积举例说明一下[数学科目]
用刘维尔定理证明一个积分不可积往往比较困难.用刘维尔第三、第四定理可以证明∫e^(kx2)dx(k≠0)、∫e^(kx)/x dx(k≠0)、∫sinx/xdx、∫cosx/xdx、∫sin(x2)dx、∫cos(x2)dx等积分无法表示为初等函数.

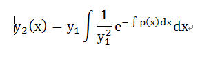
问题3:请问常微分方程中的刘维尔公式是什么?如题[政治科目]
设y1(x)是方程的解,那么图片的公式是方程的与y1(x)线性无关的解
方程是y"+p(x)y‘+q(x)y=0

问题4:怎么证明刘维尔定理:定理叙述如下:假设u是R^n上的有界调和函数,则u是常数.万分感谢![数学科目]
任取两点a和b,分别以a和b为球心,R为半径做两个闭球B_a和B_b
当R->+oo时,lim V(B_a\B_b)/V(B_a) = 0 (V表示体积)
也就是说两个球趋于重合
利用调和函数的均值性质,f(a)和f(b)分别是f在B_a和B_b上的平均值,
f在B_a∩B_b上的均值记为u,在B_a\B_b上的均值记为v,在B_b\B_a上的均值记为w
那么f(a) = [V(B_a∩B_b)*u + V(B_a\B_b)*v] / V(B_a)
f(b) = [V(B_a∩B_b)*u + V(B_b\B_a)*w] / V(B_b)
注意V(B_a)=V(B_b),V(B_a\B_b)=V(B_b\B_a),
所以f(a)-f(b)=V(B_a\B_b)/V(B_a) * (v-w)
当R->+oo时V(B_a\B_b)/V(B_a)->0,而(v-w)是有界量,所以f(a)-f(b) ->0,即f(a)=f(b)
问题5:请问刘维尔是什么人物啊
刘维尔(Joseph Liouville) 法国数学家,一生从事数学、力学和天文学的研究,涉足广泛,成果丰富,尤其对双周期椭圆函数、微分方程边值问题和数论中的超越数问题有深入研究.刘维尔研究了后来所谓的“刘维尔数”,并证明了其超越性,是第一个证实超越数的存在的人.他在数学研究中有很重要的学术贡献.
- 评论列表(网友评论仅供网友表达个人看法,并不表明本站同意其观点或证实其描述)
-
