时间:2015-01-22 07:58 来源: 学生网 编辑:52ij
导读:本堂课主要分享的是瘦肉精的化学式,以及瘦肉精的化学试题分析等。
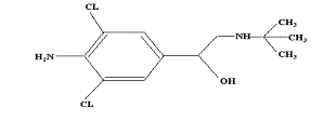
最佳答案:瘦肉精的化学式 C12H19CI3N2O(即C12H18OCl2N2 )分子式表示更明显:C12-H18-CI2-N2-O。
瘦肉精的化学式试题
已知瘦肉精的化学式:C12H18OCl2N2。对瘦肉精的说法下面有四个选项,请选择正确的一项( )
A.从瘦肉精的化学式来分析,可以推断出碳、氢、氧3种元素的质量比为72:9:8
B.瘦肉精是无机化合物
C.可以肯定瘦肉精是由C12H18O、Cl2、N23种分子组成
D.可以得出相对分子质量为277g
参考答案:选择A为最佳选项。
答案分析:
A、根据瘦肉精的化学式C12H18OCl2N2,不难得出碳、氢、氧3种元素的质量比为12×12:1×18:16=72:9:8,故A选项正确;
B、分析瘦肉精的化学式C12H18OCl2N2,很明显化学式中含有碳元素,符合有机物的概念,属于有机物,因此B选项描述不正确;
C、瘦肉精是由瘦肉精分子构成,因此C选项也不正确.
D、根据相对分子质量的相关知识,相对分子质量单位是1,通常可以被省略,因此D选项描述不正确;
- 评论列表(网友评论仅供网友表达个人看法,并不表明本站同意其观点或证实其描述)
-

