欢迎您访问52IJ教育培训网,今天小编为你分享的数学方面的学习知识是通过网络精心收集整理的:“6.2_√6÷(√2+√3)[数学]”,注意:所整理内容不代表本站观点,如你有补充或疑问请在正文下方的评论处发表。下面是详细内容。
本文发布时间:2016-05-02 21:37 编辑:勤奋者
精选知识
错了 - -
分母有理化
分子分母同时× (√3-√2)
分子变成√18-√12 分母变成1
所以原式=3√2-2√3
其他回答
3√2-2√3
其他类似问题
问题1:为什么√2*√3=√6[数学科目]
根数的运算法则啊
问题2:为什么 √2·√6=2√3[数学科目]
见下图.

问题3:(3√3-√12+√6)/2√3急急急急急急急急急!!!!!!!!!!!![数学科目]
注意√12=2√3
所以
原式=(3√3-2√3+√6) /2√3
=3/2 -2/2 + √2/2
=(1+√2)/2
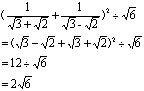
问题4:(√3+√2分之1 + √3-√2分之1)方÷√6

问题5:(9.1+2.6)÷1.3

- 评论列表(网友评论仅供网友表达个人看法,并不表明本站同意其观点或证实其描述)
-
