欢迎您访问52IJ教育培训网,今天小编为你分享的物理方面的学习知识是通过网络精心收集整理的:“遏制电压_用波长为λ的光照射金属的表面,当遏止电压取某个值时...[物理]”,注意:所整理内容不代表本站观点,如你有补充或疑问请在正文下方的评论处发表。下面是详细内容。
本文发布时间:2016-04-17 17:54 编辑:勤奋者
精选知识
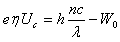
利用eU C =hv-W 0 ,按题意可写出两个方程:
①
以及
②
②-①得
再将①代入,便有
解得
式中W 0 是金属的逸出功
- 评论列表(网友评论仅供网友表达个人看法,并不表明本站同意其观点或证实其描述)
-
