欢迎您访问52IJ教育培训网,今天小编为你分享的物理方面的学习知识是通过网络精心收集整理的:“甬台温_温州大桥是甬台温高速公路和104国道线的中枢大桥,对...[物理]”,注意:所整理内容不代表本站观点,如你有补充或疑问请在正文下方的评论处发表。下面是详细内容。
本文发布时间:2016-04-19 14:56 编辑:勤奋者
精选知识
P=Fv=5000*10*0.06*60000/3600
其他回答
汽车重力大小:G=m*g;
汽车受到的阻力大小:f=0.06*G;
汽车匀速行驶时所需的牵引力:F=f;
牵引功率:P=Fv=0.06*m*g*v;
单位换算:速度v=60千米/小时=50/3米/秒
所有的值代入功率式可得,牵引功率P=50000瓦=50千瓦
其他类似问题
问题1:解2元一次方程1、【1】y=2x-7 【2】5x+3y+2z=2【3】3x-4z=42、【1】4x-9x=17【2】3x+y+15z=18【3】x+2y+3z=2[数学科目]
第一题,X=2,Y=-3,Z=1/2
第二题X=-5/7,Y=8/15,Z=13/9
问题2:两条数学难题
请放大 看不清
问题3:方程为x?2/a?2+y?2/b?2=1(a>b>0)的椭圆左顶点为A,左右交点分别为F1、F2,D是它短轴上的一个顶点,若3DF1向量=DA向量+2DF2向量,则该圆的离心率是多少?、[数学科目]
假定D(0,b)
3DF1向量=DA向量+2DF2向量即3(-c,-b)=(-a,-b)+2(c,-b)
即(-3c,-3b)=(-a+2c,-3b,),
所以-3c=-a+2c,a=5c,e=1/5
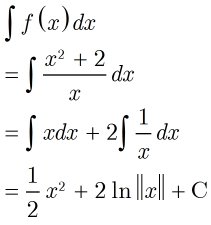
问题4:已知f(x)=(x2+2)/x,那么∫ f(x)dx=用纸写出来好不好[数学科目]

问题5:下面的论证过程是否有误?若有误,进行严格的证明(必须指出论证推理中的错误之处,而不能采用举反例、推翻结果的方法)求证:两人在笔直跑道上跑步,只要两人一直在向前笔直奔跑,原来[数学科目]
错误,没有给出速度约束条件.
如果乙比甲快则乙最终能超过甲
- 评论列表(网友评论仅供网友表达个人看法,并不表明本站同意其观点或证实其描述)
-
