欢迎您访问我爱IT技术网,今天小编为你分享的游戏攻略是:【暗黑3点炮蛮组队用双持替代双手武器的可行性分析】,下面是详细的分享!
暗黑3点炮蛮组队用双持替代双手武器的可行性分析
今天小编给大家带来的是关于暗黑3点炮蛮组队用双持替代双手武器的可行性分析,小伙伴们一起来看一看吧。

首先双持武器首选对剑套装,但是掉率太低也可以考虑火斧/火锤/杀猪刀等各种单手武器,对剑的特效是30%攻速,火武的特效是40%元素伤,杀猪刀等是C类伤,本文将从对剑的角度开始分析,其他武器可以参考结论。
如果用双持武器不萃取先祖之锤势必会导致boss断怒,所以必须放弃萃取焚炉,而焚炉本身在点炮蛮体系中只有打boss有收益,精英怪是靠核爆僧来炸为主要输出而不是靠蛮子去锤的。
所以将从两个方面,小怪和boss单体战来分析双持和双手的优劣。
对于小怪来说,我们可以直接忽略焚炉的影响,用dps(dph*ias)来作为输出评判的标准。
对双手武器来说,dph满值为3996,无倍苦攻速为1.1基础攻速*1.07武器攻速*(1+25%变身+10%巅峰)*1.5=2.383425,再加上40%的先祖伤害,4.8%的暴击
所以输出期望(攻速直接算而不考虑档位,作为估算的结论,A类增伤以除武器外150%计算)约为3996*2.383425*(1+40%+150%)*1.047=28 918.22613669
而双持武器的dph满值为2233,无倍苦攻速为1.4*1.07*(1+25%+15%+10%+30%)*1.5=4.0446,多一个130爆伤宝石
所以输出期望为2233*4.0446*(1+150%)*1.256=28 359.198252
可以看出输出不相上下而对于新人来说,神圣套dph为2315.5,无倍苦攻速为1.3*1.07*(1+25%+15%+10%+10%)=3.3384
所以输出期望为2315.5*3.3384*1.256*2.5=24 272.404728会比以上两种略低
对于boss来说,就要开始考虑赛季宝石的影响了。
对双手武器来说,dph满值为3996,带倍苦攻速为1.1*1.07*(1+25%+10%+3%)*1.5=2.43639,入23f档,再加上40%的先祖伤害,4.8%的暴击,算上增伤以3996*1.5*(1+40%+150%)*1.047=18199.5822算
而双持武器的dph满值为2233,带倍苦攻速为1.4*1.07*(1+25%+15%+10%+30%+3%)*1.5=4.11201,入13f档,算上增伤以2233*(1+150%)*1.256=7011.62
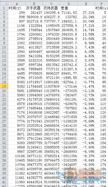
所以取[23,13]=299f为一个周期,每个周期内双手武器攻击13次,而双持武器攻击23次

可以看出,80秒左右开始双持武器的总输出已经超过了带焚炉的双手武器,而在200秒左右双手武器的输出已经比双持要少10%以上了。
结论:
双持武器的输出比双手武器占很大优势,唯一的缺点就是对剑套太难出极品了(因为锤子是轮换的,所以两把武器都要高白字。而神圣套虽然好出但是没有那么强)……
以上是小编为大家整理的暗黑3的具体内容,你的耐心观看就是对小编最大的支持。如果大家想了解更多游戏活动与游戏攻略,请持续关注本站。更多精彩内容,尽在jb51游戏频道!
以上所分享的是关于暗黑3点炮蛮组队用双持替代双手武器的可行性分析,下面是编辑为你推荐的有价值的玩家互动:
相关问题:暗黑3野蛮人如果玩输出流的话,是用双手武器还是双...
答:双持关键是多了属性加爆伤。双手1200大概对应单手800*1.15=920。同等级的武器,双手比单手多25%的秒伤,而单手要多出大约70%爆伤(70%爆伤只是来源于镶孔,装备正常的非斧系野蛮人暴击率大约为25%~35%,70%爆伤提供的输出加成大约为20%)和额外的... >>详细
相关问题:暗黑3野蛮人双手武器和双持武器有啥区别
答:对技能的选择和伤害有影响,一般都是用双手,撕裂回血的效果好一些 >>详细
相关问题:暗黑3野蛮人武器用双手还是双持好
答:主流现在都是不朽锤,伤害高。也有用布刀的,但是必须是远古才行,伤害不够呀 >>详细
- 评论列表(网友评论仅供网友表达个人看法,并不表明本站同意其观点或证实其描述)
-
