欢迎您访问我爱IT技术网,今天小编为你分享的游戏攻略是:【暗黑3点炮蛮组队双持武器和双手武器哪个好_对比分析】,下面是详细的分享!
暗黑3点炮蛮组队双持武器和双手武器哪个好_对比分析
今天小编为大家带来了暗黑3点炮蛮组队双持武器和双手武器哪个好_对比分析,感兴趣的朋友们可以跟着小编去下文了解一下哦。

上次分析过武器攻速对整体输出带来的影响,进而可以想到如果使用双持武器那么攻速更高的情况下会不会带来更高的收益。
首先双持武器首选对剑套装,但是掉率太低也可以考虑火斧/火锤/杀猪刀等各种单手武器,对剑的特效是30%攻速,火武的特效是40%元素伤,杀猪刀等是C伤,本文将从对剑的角度开始分析,其他武器可以参考结论。
如果用双持武器不萃取先祖之锤势必会导致boss断怒,所以必须放弃萃取焚炉,而焚炉本身在点炮蛮体系中只有打boss有收益,精英怪是靠核爆僧来炸为主要输出而不是靠蛮子去锤的。
双持武器和双手武器的优劣对比
所以将从两个方面,小怪和boss单体战来分析双持和双手的优劣。
对于小怪来说
我们可以直接忽略焚炉的影响,用dps(dph*ias)来作为输出评判的标准。
对双手武器来说,dph满值为3996,无倍苦攻速为1.1基础攻速*1.07武器攻速*(1+25%变身+10%巅峰)*1.5=2.383425,再加上40%的先祖伤害,4.8%的暴击
所以输出期望(攻速直接算而不考虑档位,作为估算的结论,A类增伤以除武器外150%计算)约为3996*2.383425*(1+40%+150%)*1.047=28 918.22613669
而双持武器的dph满值为2233,无倍苦攻速为1.4*1.07*(1+25%+15%+10%+30%)*1.5=4.0446,多一个130爆伤宝石
所以输出期望为2233*4.0446*(1+150%)*1.256=28 359.198252
可以看出输出不相上下
而对于新人来说,神圣套dph为2315.5,无倍苦攻速为1.3*1.07*(1+25%+15%+10%+10%)=3.3384
所以输出期望为2315.5*3.3384*1.256*2.5=24 272.404728 会比以上两种略低
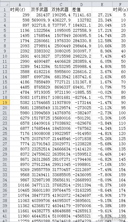
对于boss来说
就要开始考虑赛季宝石的影响了。
对双手武器来说,dph满值为3996,带倍苦攻速为1.1*1.07*(1+25%+10%+3%)*1.5=2.43639,入23f档,再加上40%的先祖伤害,4.8%的暴击,算上增伤以3996*1.5*(1+40%+150%)*1.047=18199.5822算
而双持武器的dph满值为2233,带倍苦攻速为1.4*1.07*(1+25%+15%+10%+30%+3%)*1.5=4.11201,入13f档,算上增伤以2233*(1+150%)*1.256=7011.62
所以取[23,13]=299f为一个周期,每个周期内双手武器攻击13次,而双持武器攻击23次

可以看出,75秒左右开始双持武器的总输出已经超过了带焚炉的双手武器,而在200秒左右双手武器的输出已经比双持要少10%以上了。
特别的,如果双持不萃取锤子而是萃取焚炉,在200秒左右双持已经比双手少60%以上输出!
结论:
双持武器的输出比双手武器占很大优势,唯一的缺点就是对剑套太难出极品了(因为锤子是轮换的,所以两把武器都要高白字)……
暗黑3点炮蛮组队双持武器和双手武器哪个好_对比分析就介绍到这里,相信各位玩家们都有所了解了吧,喜欢本文的玩家可以关注本站,小编还会为大家带来更多好看好玩的游戏游戏攻略。以上所分享的是关于暗黑3点炮蛮组队双持武器和双手武器哪个好_对比分析,下面是编辑为你推荐的有价值的玩家互动:
相关问题:
答: >>详细
相关问题:
答: >>详细
相关问题:
答: >>详细
- 评论列表(网友评论仅供网友表达个人看法,并不表明本站同意其观点或证实其描述)
-
