时间:2016-04-04 15:38 来源: 我爱IT技术网 作者:佚名
用户首先需要计算系数矩阵的逆矩阵,并验证逆矩阵运算的正确性,下面就一步一步教你怎么做吧
前期准备工作(包括相关工具或所使用的原料等)
excel详细的操作方法或具体步骤
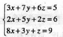
第一步,分析三元方程组。在本实例中,用户需要求解的三元方程组如下。

第二步,计算系数矩阵的逆矩阵。选择单元格范围B5~D7r在标题栏中输入{=MINVERSE(B1:D3)}”,然后同时按下Ctrl+shift +Enter组合键,得到的结果如图

第三步,验证矩阵结果。选择单元格范围B9一D11,在标题栏中输入{=MMULT(B1;D3,B5:D7)}”,然后同时按下Ctrl+Shift + Enter组合键,得到的结果如图

第四步,分析验证结果。在上面的单元格B9-D11中,得到的结果并不完个是单元矩阵.而是十分接近单元矩阵。这是因为,在excel中计算逆矩阵的时候,使用的是试算的方法。而不是直接通过理论求解逆矩阵,存在一个计算精度误差。
经验内容仅供参考,如果您需解决具体问题(尤其法律、医学等领域),建议您详细咨询相关领域专业人士。作者声明:本教程系本人依照真实经历原创,未经许可,谢绝转载。- 评论列表(网友评论仅供网友表达个人看法,并不表明本站同意其观点或证实其描述)
-
