同学们提问关于“多项式除法_这个多项式的除法怎么算啊,求过程 [数学]”的问题,52IJ师说平台通过网络上精心整理了以下关于“多项式除法_这个多项式的除法怎么算啊,求过程 [数学]”的一些有用参考答案。请注意:文中所谈及的内容不代表本站的真正观点,也请不要相信各种联系方式。下面是本网所整理的“多项式除法_这个多项式的除法怎么算啊,求过程 [数学]”的相关信息:
这个多项式的除法怎么算啊,求过程
科目:数学 关键词:多项式除法
其他回答
2x^2 -1
---------------------------------
x^2+1|2x^4 +x^2 +3
2x^4 +2x^2
----------------------------------
...
其他类似问题
问题1:怎样计算多项式的除法?[数学科目]
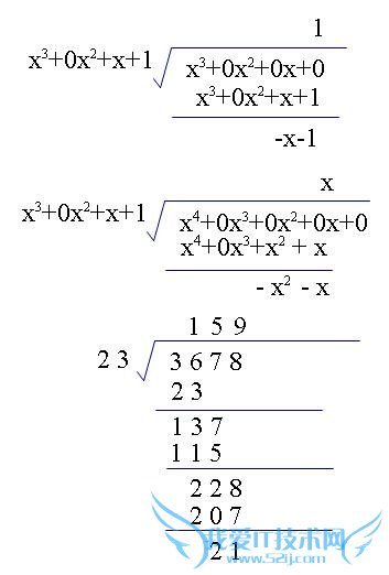
多项式除以多项式的一般步骤:
多项式除以多项式一般用竖式进行演算
(1)把被除式、除式按某个字母作降幂排列,并把所缺的项用零补齐.
(2)用除式的第一项去除被除式的第一项,得商式的第一项.
(3)用商式的第一项去乘除式,把积写在被除式下面(同类项对齐),从被除式中减去这个积.
(4)把减得的差当作新的被除式,再按照上面的方法继续演算,直到余式为零或余式的次数低于除式的次数时为止.被除式=除式×商式+余式
如果一个多项式除以另一个多项式,余式为零,就说这个多项式能被另一个多项式整除
问题2:多项式除法怎么算?[数学科目]
我基本上现在不用这些了,但是这个很简答啊,你还是列出一个具体的题目我来帮你解答吧!
问题3:多项式除法 求余式的方法 请给出具体的计算步骤,请问这上面这2个式子的余式是怎么算出来的啊?最好能给上点详细解答,我自己网上看了看有一种叫综合除法的法则,但是没看懂请解答的时候[数学科目]
和竖式除法一样,例:

问题4:多项式除法怎样运算?例如xxxx-2xxx-4xx+1除以x-1怎么运算,据说还要加0什么的.还有aaaa-bbbb除以a+b为什么写成aaaa+0+0+0-bbbb,而不给b的四次方也加0呢?指教为什么aaaa-bbbb除以a+b,老师是这样排列aaaa+0+0+0[数学科目]
每一项都不能缺,既然原来没有,当然加零补充~
多项式除以多项式的一般步骤:
多项式除以多项式一般用竖式进行演算
(1)把被除式、除式按某个字母作降幂排列,并把所缺的项用零补齐.
(2)用除式的第一项去除被除式的第一项,得商式的第一项.
(3)用商式的第一项去乘除式,把积写在被除式下面(同类项对齐),从被除式中减去这个积.
(4)把减得的差当作新的被除式,再按照上面的方法继续演算,直到余式为零或余式的次数低于除式的次数时为止.被除式=除式×商式+余式
如果一个多项式除以另一个多项式,余式为零,就说这个多项式能被另一个多项式整除
将b看作常数~a^4-b^4是关于a的四次多项式
问题5:多项式的除法怎么算[数学科目]
用竖式,过程比整数除法还要简单一点.【没有 借位 换算 的麻烦】你若有实例,我们在“评论”中慢慢探索,只要你真有恒心,应该是可以掌握的.(不敢说包你掌握)
- 评论列表(网友评论仅供网友表达个人看法,并不表明本站同意其观点或证实其描述)
-
