同学们提问关于“指数分布无记忆性_几何分布的无记忆性如何理解证明过程能看懂希望能有...[数学]”的问题,52IJ师说平台通过网络上精心整理了以下关于“指数分布无记忆性_几何分布的无记忆性如何理解证明过程能看懂希望能有...[数学]”的一些有用参考答案。请注意:文中所谈及的内容不代表本站的真正观点,也请不要相信各种联系方式。下面是本网所整理的“指数分布无记忆性_几何分布的无记忆性如何理解证明过程能看懂希望能有...[数学]”的相关信息:
几何分布的无记忆性如何理解证明过程能看懂希望能有...
科目:数学 关键词:指数分布无记忆性无记忆性即:后面事件发生的概率与前面事件是否发生无关.
条件事件概率与前面事件发生有关;几何分布就无关了.
其他回答
无记忆性就是不论你从第几项开始都是一样的,和前面的事件无关,除了几何分布外,在连续性里指数分布也具有类似的性质,呵呵,简单点说:你定格了,不论什么时候都好像一直是18岁,你眼中的未来(18岁以后)是一成不变的,服从同一个规律。(多美好的想像啊……不是吗?)...
其他类似问题
问题1:几何分布 无记忆性 证明证明P{X=m+n|x>m}=p{x=n}[数学科目]
对“无记忆性”的解释:http://zhidao.baidu.com/question/100318634.html
对:“几何分布”的解释:http://baike.baidu.com/view/615028.htm
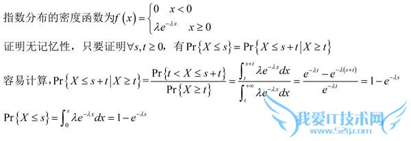
问题2:如何证明指数分布的无记忆性
见图.

问题3:概率论 指数分布的无记忆性 说明什么 怎么运用?
缺乏“记忆”,是指某种产品或零件经过一段时间t0的工作后,仍然如同新的产品一样,不影响以后的工作寿命值,或者说,经过一段时间t0的工作之后,该产品的寿命分布与原来还未工作时的寿命分布相同.
问题4:概率论几何分布无记忆性的证明过程[数学科目]
设X~Ge(P),则任取m、n∈N 有P[(X>n+m)|(X >m)]=P(X>n)
证明:P(X>n+m|X>m)=P(X>n+m)/P(X>m)
P(X>m)=∑P(X=k) (其中∑上面是∞ ∑下面是k=m+1 )
=(∑q^k+1)p (其中∑上面是∞ ∑下面是k=m+1 )
=(q^m +q^m+1 +···)p
=[q^m/(1-q)]p=q^m
P(X>n+m)=q^n+m
P(X>n)=q^n
希望可以帮到你!
问题5:分布的不记忆性请问分布的无记忆性是什么意思,定义是什么?什么分布具有无记忆性?[数学科目]
参考答案\x09寄言燕雀莫相唣,自有云霄万里高
- 评论列表(网友评论仅供网友表达个人看法,并不表明本站同意其观点或证实其描述)
-
