欢迎您访问52IJ教育培训网,今天小编为你分享的数学方面的学习知识是通过网络精心收集整理的:“150_X + X4=150[数学]”,注意:所整理内容不代表本站观点,如你有补充或疑问请在正文下方的评论处发表。下面是详细内容。
本文发布时间:2016-04-20 10:45 编辑:勤奋者
精选知识
X + X/4=150
4x+x=600
5x=600
x=120
其他回答
4X+X=600
5X=600
X=120
其他类似问题
问题1:天气转冷了,大明爸爸去为外公外婆买了一台空调,零售价为4400元,由于正值圣诞节,商店搞促销活动,按零售价的80%降低销售,营业员说这样商店盈利10%,问照此说法空调的进价是多少元?[数学科目]
设空调的进价是x元,则
4400×80%-x=10%x,
解得x=3200,
答:空调的进价是3200元.
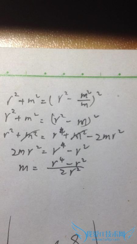
问题2:r2+m2=(r2-m2/m) 2 用r表示m求如何证明m=根号3/3 r[数学科目]

问题3:数学解方程速度啊

问题4:tan a=X/(30+10倍根号3+Y) tan 2a=X/(10倍根号3+Y) 求角a的大小 和 未知数X[数学科目]
有无数解吧.做一直角三角形ABC,C为直角,使得AC = X,BC = 30 + 30+10倍根号3 + Y.
在BC上取点D,使得BD = 30,CD = 10倍根号3+Y.
那么tanABC = X/(30+10倍根号3+Y)=tan a,∠ABC=a
tanADC = X/(10倍根号3+Y)=tan 2a,∠ADC=2a
所以∠BAD = ∠ADC - ∠ABC(三角形外角定理)=a
?ABD为等腰三角形,AD=BD=30
然后我们逆向建设,
不论X,Y取何值,只要AC = X,CD= 10倍根号3+Y,AD=30 了做出直角三角形,
那么a=∠ADC/2就一定满足条件.X,Y的关系写成等式就是X^2 + Y^2 + (20倍根号3)Y -600 = 0.
问题5:“急!”解方程数学,谢谢各位

- 评论列表(网友评论仅供网友表达个人看法,并不表明本站同意其观点或证实其描述)
-
