导读:本堂课主要分享的是纤维素化学式,以及纤维素与淀粉的相关知识等。
最佳答案:纤维素化学式 (C6H10O5)n。
纤维素与淀粉的相关知识
1. 「纤维素」与「淀粉」的分子量相等,但是「淀粉」比较容易溶于水,「纤维素」比较不溶于水,现在让我们用分子的观点研究「淀粉」与「纤维素」溶解度的差距。
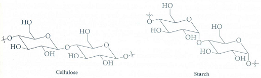
2. 「纤维素」和「淀粉」是自然界产生的「聚缩醛polyacetals」,「纤维素」和「淀粉」的立体结构差异,来自于「1号碳C-1」连接「氧取代基」的方式:

3. 「纤维素」和「淀粉」的「C-1」连接「氧」的方式不同,深深影响每个聚合物的分子内氢键。
4. 「淀粉」的连接情形是,六碳环的其中一个「碳(C-1)」连接的「氧取代基」,为轴型取代基,这使得淀粉的每个六碳环可以捲曲,形成「螺旋状」结构。

5. 淀粉链的螺旋状结构,来自于聚合链的某一个六碳环的「氢氧基」,与邻接的六碳环的「氧」,形成「氢键」。
6. 相反地,在纤维素分子链的单体,彼此之间连接的「氧」,对2个六碳环来说都是赤道型,因此,相邻的葡萄醣单体之间的「氢键」,作用是巩固线状结构,葡萄醣单体不会拗折。

7. 每一条「纤维素链」能与其他「纤维素链」,形成链与链间的「氢键」,将每一条「纤维素链」固定成坚硬、立体的质体。

8. 「淀粉链」是螺旋状捲曲,不时被淀粉链间的「氢键」干扰,因此淀粉链的密度比较疏鬆。
9. 分子构造之间的些微差异,造成「淀粉」与「纤维素」立体结构与性质上的极大差异,淀粉可以消化,纤维素无法消化,这二种分子的差异性,影响生物圈内所有的生物;造成这种差异的塬因是,单体分子的其中1个碳塬子(连接氧塬子)的立体构造不同。
10. 类似的例子,也出现在蛋白质的化学性质上。将「胜肽链」的一个「胺基酸」的「氢塬子」,取代成「烷基」,将使得「蛋白质结构」从「褶版」变成「螺旋」。结构的改变造成分子的化学、物理性质大为不同,连带影响了它们的功能。
- 评论列表(网友评论仅供网友表达个人看法,并不表明本站同意其观点或证实其描述)
-
