欢迎您访问52IJ教育培训网,今天小编为你分享的化学方面的学习知识是通过网络精心收集整理的:“摇头丸的成分_冰毒是毒品“摇头丸”的主要成分,具有强烈的致幻效果...[化学]”,注意:所整理内容不代表本站观点,如你有补充或疑问请在正文下方的评论处发表。下面是详细内容。
本文发布时间:2016-04-17 17:34 编辑:勤奋者
精选知识
设冰毒的相对分子质量为Mr
(1) 氢元素的质量
碳元素的质量
氮元素的质量
12x:y:14=24.0:3.0:2.8
x=10 y=15
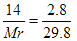
(2)Mr=10×12+15×1+1×14=149[或
,解得Mr=149]
- 评论列表(网友评论仅供网友表达个人看法,并不表明本站同意其观点或证实其描述)
-
