欢迎您访问52IJ教育培训网,今天小编为你分享的数学方面的学习知识是通过网络精心收集整理的:“黎曼空间_无边界的罗氏空间里是否允许黎曼空间存在?如果允许,...[数学]”,注意:所整理内容不代表本站观点,如你有补充或疑问请在正文下方的评论处发表。下面是详细内容。
罗氏几何曲面是微分流形的一种,所有微分流形上都可赋予黎曼度量
其他类似问题
问题1:【物理】求告知“欧氏空间、罗氏空间、黎曼空间在广义相对论中的应用”……[物理科目]
欧式空间是平直空间(内禀曲率为0),对应于不考虑引力效应的狭义相对论,一般把平直的三维空间加一维时间称作闵氏时空.黎曼空间的内禀曲率不等于0,它是广义相对论的“舞台”,广义相对论认为实际上不存在引力,引力是时空弯曲的表现,所以要应用内禀曲率不为0的黎曼空间来描述.
问题2:什么是黎曼空间?
常曲率黎曼空间
Riemannian space of constant curvature
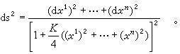
截面曲率为常数的黎曼流形,它包括了欧氏空间、球面、双曲空间为其特例.在曲面论中,高斯曲率K为常数的曲面局部地为球面(K>0),平面(K=0)或双曲平面(K<0).在高维时高斯曲率的自然推广为截面曲率(见黎曼几何学).如果黎曼流形M上任何点处的任何二维切平面,其相应的截面曲率均为常数K,则称此黎曼流形为常曲率黎曼空间.又称常曲率空间.由著名的舒尔定理知道,如果dim M≥3并且M上每处的截面曲率的数值与二维切平面的选取无关,则截面曲率也必与点的选取无关,即它必为常曲率黎曼空间.局部地,常曲率K的n维黎曼流形的黎曼曲率张量可表为此处gij为黎曼流形的度量张量,1≤i,j,k,l≤n.在适当的坐标系下它的黎曼度量为
局部地,它是n维球面(K>0)、欧氏空间(K=0)或双曲空间(K<0).整体地说,单连通的完备常曲率空间只能是下列三种:球面、欧氏空间和双曲空间.如不单连通,则其通用覆盖流形必为上述三类之一.J.A.沃尔夫已完全解决了以球面为其通用覆盖的紧致的正常曲率空间的分类.
人们对常曲率黎曼空间感兴趣的原因在于这类黎曼流形结构简单,具有最大的对称性(即容有最大参数的运动群),直观地说,这类空间是均匀各向同性的.它也同时作为共形平坦空间、爱因斯坦空间、齐性黎曼流形或对称黎曼空间等特殊黎曼流形的一类重要的例子.把它作为模型研究清楚以后,通过与这些标准的模型进行诸如曲率等几何量的比较,从而可得到对一般黎曼流形的一系列几何和拓扑的性质.

问题3:黎曼函数是连续的吗?怎样证明?黎曼函数在各点处有极限吗?[数学科目]
见图

问题4:证明黎曼函数可积证明黎曼函数黎曼可积![数学科目]
对任意的e>0,函数值>e的点只有有限个(1/q>e等价于q<1/e,q是正整数,有限),记为K,将区间作分划,使得每一子区间长度
问题5:罗氏几何证明同一直线的垂线和斜线不一定相交.垂直于同一直线的两条直线,当两端延长的时候,离散到无穷.不存在相似而不全等的多边形.过不在同一直线上的三点,不一定能做一个圆 不能理[数学科目]
罗巴切夫斯基几何学的公理系统和欧氏几何学不同的地方仅仅是把欧氏几何中“一对分散直线在其唯一公垂线两侧无限远离”这一几何平行公理用“从直线外一点,至少可以做两条直线和这条直线平行”来代替,其他公理基本相同.由于平行公理不同,经过演绎推理却引出了一连串和欧式几何内容不同的新的几何命题.
我们知道,罗巴切夫斯基几何除了一个平行公理之外采用了欧氏几何的一切公理.因此,凡是不涉及到平行公理的几何命题,在欧氏几何中如果是正确的,在罗氏几何中也同样是正确的.在欧氏几何中,凡涉及到平行公理的命题,在罗巴切夫斯基几何中都不成立,他们都相应地含有新的意义.下面举几个例子加以说明:
欧氏几何:
同一直线的垂线和斜线相交.
垂直于同一直线的两条直线平行.
存在相似的多边形.
过不在同一直线上的三点可以做且仅能做一个圆.
罗巴切夫斯基几何:
同一直线的垂线和斜线不一定相交.
垂直于同一直线的两条直线,当两端延长的时候,离散到无穷.
不存在相似的多边形.
过不在同一直线上的三点,不一定能做一个圆.
从上面所列举得罗巴切夫斯基几何的一些命题可以看到,这些命题和我们所习惯的直观形象有矛盾.所以罗巴切夫斯基几何中的一些几何事实没有象欧氏几何那样容易被接受.但是,数学家们经过研究,提出可以用我们习惯的欧氏几何中的事实作一个直观“模型”来解释罗氏几何是正确的.
1868年,意大利数学家贝特拉米发表了一篇著名论文《非欧几何解释的尝试》,证明非欧几何可以在欧几里得空间的曲面(例如拟球曲面)上实现.这就是说,非欧几何命题可以“翻译”成相应的欧几里得几何命题,如果欧几里得几何没有矛盾,非欧几何也就自然没有矛盾.
人们既然承认欧氏几何是没有矛盾的,所以也就自然承认非欧几何没有矛盾了.直到这时,长期无人问津的非欧几何才开始获得学术界的普遍注意和深入研究,罗巴切夫斯基的独创性研究也就由此得到学术界的高度评价和一致赞美,他本人则被人们赞誉为“几何学中的哥白尼”.
- 评论列表(网友评论仅供网友表达个人看法,并不表明本站同意其观点或证实其描述)
-
