欢迎您访问52IJ教育培训网,今天小编为你分享的数学方面的学习知识是通过网络精心收集整理的:“对数求导_此题目要求是用对数求导法求的![数学]”,注意:所整理内容不代表本站观点,如你有补充或疑问请在正文下方的评论处发表。下面是详细内容。
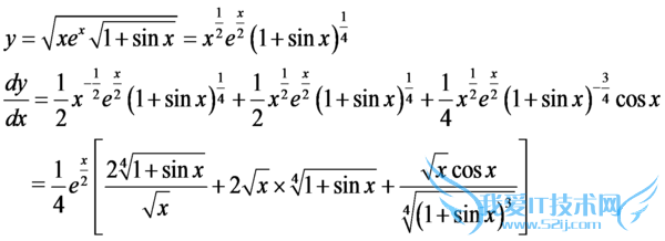
解答见图(稍等)

其他类似问题
问题1:一道有关求导的数学题由 f(x)=x^3-3x+1怎么转化成3x^2-3=0[数学科目]
(x^n)'=n*x^(n-1)
f'(x)=3x^2-3
问题2:求导数g(x)=x^(5x)(5+5Inx)x^(5x)[数学科目]
先g(x)=x^(5x)两边同时取对数得:In(g(x))=5xInx,然后两边同时对x求导得:(1/g(x))g'(x)=5Inx+5,两边同乘g(x)得:g'(x)=(5Inx+5)x^(5x).
问题3:求r=三次根下3V/4π的导数,因为我是预习的新课,所以麻烦写详细点,[数学科目]
r=(3V/4π)^(1/3)=(3/4π)^(1/3)*V^(1/3)
所以r'=(3/4π)^(1/3)*[V^(1/3)]'
=(3/4π)^(1/3)*[(1/3)*V^(1/3-1)]
=(3/4π)^(1/3)*(1/3)*V^(-2/3)
=(1/36π)*1/三次根下V^2
问题4:一道数学题:求导数的Y=Xe^(kX) 麻烦给这个函数求导,[数学科目]
y'=x'*e^(kx)+x*[e^(kx)]'
=e^(kx)+x*e^(kx)*kx)'
=e^(kx)+kx*e^(kx)
=(1+kx)e^(kx)
问题5:一道数学题,有关求导的设抛物线C1:y1=x^2-2x+2与抛物线C2:y2=-x^2+ax+b在它们的一个公共点处的切线互相垂直1.求a,b之间的关系2.若a>0,b>0,求ab的最大值PS.我做着做着直接把a,b的值求出来了= =||||,[数学科目]
1,因为两抛物线有一个公共点,所以有方程x^2-2x+2==-x^2+ax+b有解,即2x^2-(a+2)x+2-b=0有解,故有判别式要大于或等于0,即:(a+2)^2-8(2-b)>=0
设这个公共点A的坐标为(x1,y1).分别对两抛物线的解析式求导有y1'=2x-2,y2'=-2x+a,因为两抛物线在公共点A的切线相互垂直,那么就有(2x1-2)(-2x1+a)=-1,进行化简得到4x1^2-2(a+2)x+2a-1=0,且有x1是方程2x^2-(a+2)x+2-b=0的解,所以有2x1^2-(a+2)x1+2-b=0因此有2x1^2-(a+2)x1=b-2代入上式中得到a+b=5/2,将b=5/2-a代入到(a+2)^2-8(2-b)>=0中得到a^2-4a+8=(a-2)^2+4>=0恒成立,所以a可以为任意值,没有范围限制,那么a,b关系为a+b=5/2
2,因为a>0,b>0而且a+b=5/2直接利用不等式得到ab的最大值为25/16此时有a=b=5/4
- 卡西欧5800程序_卡西欧5800程序问题大家帮我看下
- 计数单位是什么_...计数单位是(一),它( )最高位.
- 贝贝妈_贝贝妈妈端来满满的一杯牛奶,淘气的弟弟
- wangyou.com_...-BD--C的大小:http:img701.phot
- 数字钟_在5.6.7.8.9这几个数字钟,任意挑2个数字
- 罗辑思维40_逻辑思维题 5 9.1 1.3 9 40.7 3.7 41.
- 什么叫做互质数_什么是互质数3和4是吗,4和6是吗
- 苹果花茶_小丽在水果店花18元买了苹果和橘子共6kg
- adjoin_美国大学宿舍里doubledouble adjoin bath
- 双色球148期_关于概率论的问题大家关注双色球2007
- 评论列表(网友评论仅供网友表达个人看法,并不表明本站同意其观点或证实其描述)
-
