欢迎您访问52IJ教育培训网,今天小编为你分享的数学方面的学习知识是通过网络精心收集整理的:“根号6_√27×√50÷√6 计算题根号过程[数学]”,注意:所整理内容不代表本站观点,如你有补充或疑问请在正文下方的评论处发表。下面是详细内容。
本文发布时间:2016-04-21 12:09 编辑:勤奋者
精选知识
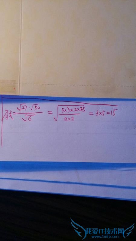
√27×√50÷√6
=3√3x5√2÷√6
=15√6÷√6
=15
如果本题有什么不明白可以追问,如果满意请点击“选为满意答案”
其他回答
√27×√50÷√6
=√27*50/6
=√225
=15
其他类似问题
问题1:(√8/27-5√3)×√6+3√50[数学科目]
(根号8/27-5根号3)x根号6+3根号50
=根号16/9-5根号18+15根号2
=4/3-15根号2+15根号2
=4/3
问题2:填空题:(1)计算√27×√50÷√6=______.[数学科目]

问题3:(19又5/9+3又9/10-5.22)/(19又5/9-6又27/50+5.22)/(2000/0.7/2003/0.6+3.5/2003)[数学科目]
(2又5/9 3又9/10-5.22)/(2又5/9-6又27/50 5.22)÷((2006×问题补充:求结果 1.25
问题4:找规律填空:(1,3,9)(2,6,18)(3,9,27)(4,12,36)第50组的3个数是多少[数学科目]
第n组为(n,3n,9n)
所以,第五十组第三个是9x50=450
问题5:根号27乘于根号50除于根号6等于[数学科目]
√27×√50÷√6
=3√3×5√2÷√6
=15√6÷√6
=15
- 评论列表(网友评论仅供网友表达个人看法,并不表明本站同意其观点或证实其描述)
-
