欢迎您访问52IJ教育培训网,今天小编为你分享的数学方面的学习知识是通过网络精心收集整理的:“等比数列_...证明:数列{bn}是等比数列②求T2n③不等式64T2n乘a...[数学]”,注意:所整理内容不代表本站观点,如你有补充或疑问请在正文下方的评论处发表。下面是详细内容。
①an×a(n+1)=(1/2)^n,a(n-1)×an=(1/2)^(n-1)
两式相除,得:a(n+1)/a(n-1)=1/2,那么a(n+2)/an=1/2
而bn=a2n,b(n+1)=a(2n+2),所以b(n+1)/bn=a(2n+2)/a2n=1/2,为常数
而b1=a2=(1/2)÷a1=1/2,所以数列{bn}是以1/2为首项、1/2为公比的等比数列
②bn=(1/2)^n (n∈N+),其前n项和Bn=1/2×[1-(1/2)^n]/(1-1/2)=1-(1/2)^n
令cn=a(2n-1),同理可得cn是以c1=a1=1为首项、1/2为公比的等比数列,
cn=(1/2)^(n-1),其前n项和Cn=1×[1-(1/2)^n]/(1-1/2)=2-(1/2)^(n-1)
所以T2n=Bn+Cn=1-(1/2)^n+2-(1/2)^(n-1)
=3-3×(1/2)^n
③64T2n×a2n≤3(1-kan),a2n=bn=(1/2)^n
那么64×[3-3×(1/2)^n]×(1/2)^n≤3[1-k×(1/2)^n]
化简,得:k≤(2^n)+64×(1/2)^n-64,对于一切n∈N+恒成立
那么k要小于等于(2^n)+64×(1/2)^n-64的最小值
而(2^n)+64×(1/2)^n-64≥(2√64)-64=-48 (当且仅当(2^n)=64×(1/2)^n,即n=3时取等)
所以k≤-48,即实数k的最大值为-48
其他回答
①an×a(n+1)=(1/2)^n,a(n-1)×an=(1/2)^(n-1)
两式相除,得:a(n+1)/a(n-1)=1/2,那么a(n+2)/an=1/2
而bn=a2n,b(n+1)=a(2n+2),所以b(n+1)/bn=a(2n+2)/a2n=1/2,为常数
而b1=a2=(1/2)÷a1=1/2,所以数列{bn}是以1/2为首项、1/2为公比的等比数列 ①一个×一个(?n +1)=(1/2)的n次方,(n-1个)×=(1/2)^(n-1个) 两个公式除法,太:一( n +1个)/(n-1个)= 1/2,则(n +2)个/ = 1/2 BN = A2N和b(n +1)的=(2n +2?的)和b(n +1)个/ BN =(2n +2?的)/ A2N = 1/2,是恒定的 B1 = A2 =(1/2)÷A1 = 1/2,这样的列数{亿元的基础上1/2的LED项目,1/2为公比的等比数列 ②BN =(1/2)^ n个(n∈N +),在第n物品和BN = 1/2×[1 - (1/2)^ n]的/(1-1/2)= 1 - (1/2)^ n的 令CN =(2N-1)同样CN是几何级数的公比导致到c1 = a1的= 1条目的,1/2, CN =(1 /)^(n-1个),第一n个项和CN = 1×[1 - (1/2)^ n的] /(1-1/2)= 2 - (1/2)^(n-1个) 因此,T2N =十亿+ CN = 1 - (1/2)^ n的+2-(1/2)^(n-1个) = 3-3×(1/2)^ n的 ③64T2n×A2N≤3( 1根),A2N = BN =(1/2)^ N 64×3-3×(1/2)^ N]×(1/2)^ n≤3时[1-KX (1/2)^ n] 简化,太:+64 K≤(2 ^ N)×(1/2)^ N-64是永远对所有的n∈N + K表小于或等于(2 ^ n)的64×(1/2)^ n的-64的的最低 (2 ^ n)的64 *(1/2)^正64≥(2√ 64)-64 = -48(当且仅当(2 ^ n)的= 64×(1/2)的n次方,即n = 3,采取,等) K≤-48,-48的实数的最大值 a1=2b1+3=5 an+1=2bn+1 +3 bn+1=2bn+1 +3+2bn+3 =2bn+1 +2bn+6 bn+1+2bn+6=0 bn+6= -2(bn+6) 所以{bn+6}是首项为7,公比为-2的等比数列,bn+6=7*(-2)^(n-1) 所以an=2bn+3=7×(-2)^n+3 1. a(n+1)=(n+1)an/(2n) a(n+1)/(n+1)=(1/2)(an/n) [a(n+1)/(n+1)]/(an/n)=1/2,为定值 a1/1=(1/2)/1=1/2,数列{an/n}是以1/2为首项,1/2为公比的等比数列 an/n=1/2ⁿ an=n/2ⁿ 数列{an}的通项公式为an=n/2ⁿ 2. Sn=a1+a2+...+an=1/2+2/2²+3/2³+...+n/2ⁿ Sn /2=1/2²+2/2³+...+(n-1)/2ⁿ+n/2^(n+1) Sn -Sn /2=Sn /2=1/2+1/2²+...+1/2ⁿ -n/2^(n+1) =(1/2)(1-1/2ⁿ)/(1-1/2) -n/2^(n+1) =1- (n+2)/2^(n+1) Sn=2- (n+2)/2ⁿ n=1时,b1=1×(2-S1)=1×(2-a1)=1×(2-1/2)=3/2 n=2时,b2=1×(2-S2)=1×(2-2+4/4)=1 n≥2时, bn=n(2-Sn)=n[2-2+(n+2)/2ⁿ]=n(n+2)/2ⁿ b(n+1)/bn=[(n+1)(n+3)/2^(n+1)]/[n(n+2)/2ⁿ] =(n+1)(n+3)/[2n(n+2)] =(n²+4n+3)/(2n²+4n) n为正整数,n²+4n+3>0 2n²+4n>0 2n²+4n-(n²+4n+3)=n²-3 n≥2,n²-3>0 2n²+4n>n²+4n+3 0 注意如何去分析构造函数.仅供参考! 1 an=(1/4)^n bn+2=3log1/4(1/4)^n=3n bn+1=3(n-1) bn+2-bn+1=3 所以bn是公差为3的等差数列 2 bn=3(n-2)=3n-6 cn=(1/4)^n*(3n-6) 差比数列求和用错位相减 这个楼主就自己算下吧 实在不好写其他类似问题
问题1:a>b>0.数列an首相为0,他的前六项为等差数列,公差为1/a,从第六项开始成公比为 1-b/a的等比数列求an的所有项和当 a+2b=10,则a,b为何值时,S的值最小,最小值多少?[数学科目]
问题2:数列的综合运用 [数学科目]
问题3:已知数列{an}的前n项和为Sn,且a1=1/2,an+1=(n+1)an/2n.(1)求数列{an}的通项公式;(2)设bn=n(2-Sn),n∈N*,若集合M={n|bn≥λ,n∈N*}恰有4个元素,求实数λ的取值范围.[数学科目]
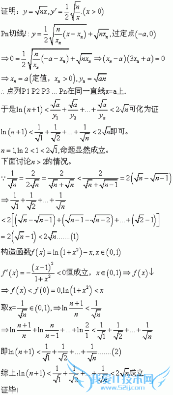
问题4:已知常数a为正实数,曲线Cn:y=根号(nx)在其上一点Pn(xn,yn)处的切线Ln总经过定点(-a,0) n为正整数 (1)求证:点列P1 P2 P3 .Pn在同一直线上(2)求证:ln(n+1)< (根号a)/y1+(根号a)/y2+...(根号a)/yn[数学科目]

问题5:已知数列{an}是首项为a1=1/4,公比q=1/4的等比数列,设bn+2=3log1/4an(n属于N*),数列{Cn}Cn=an×bn1、求证bn是等差数列2、求数列Cn的前n项和Sn[数学科目]
- 22bbb_aa+bbb=22 aa+bbbbb=30 那么a=?b=?[数学]
- 10.26_2 3 7 10 19 26 45 60 () A99 B105 C113 D1
- 纸巾盒尺寸_整式的加减运算:做大小两个长方体纸
- 2014文科高考_2014高考广东文第十九题设各项正数
- 2009高考数学试题_2009年江苏文科高考数学题 高手
- 是否存在整数m_若cn=3^n+(-1)^n m 2^n,试问是否
- 已知三个非负数_已知三个非负数a、b、c满足3a+2b+
- 弑神1.3a_...6 =243,求a 5 ;(2)已知a 1 = 9 8 ,
- 已知三个非负数_已知3个非负数a,b,c满足3a加2b
- 等比数列求通项公式_等比数列an的前3项和是21,前
- 评论列表(网友评论仅供网友表达个人看法,并不表明本站同意其观点或证实其描述)
-
