欢迎您访问52IJ教育培训网,今天小编为你分享的数学方面的学习知识是通过网络精心收集整理的:“同天_有一户人家,父亲和儿子同一天过生日,每逢父子俩过生...[数学]”,注意:所整理内容不代表本站观点,如你有补充或疑问请在正文下方的评论处发表。下面是详细内容。
(1)设父亲现在2x岁 儿子现在x岁
38-2x=10-x
x=28
父亲现在56岁 儿子现在28岁
(2)设再过z年 父子年龄之和为100
56+z+28+z=100
解得z=8
再过8年 父子年龄相加等于100岁
其他回答
现在56 28
8年后64 36
其他类似问题
问题1:方程为xˆ2/aˆ2+yˆ2/bˆ2=1(a>b>0)的椭圆左顶点为A,左右交点分别为F1、F2,D是它短轴上的一个顶点,若3DF1向量=DA向量+2DF2向量,则该圆的离心率是多少?、[数学科目]
假定D(0,b)
3DF1向量=DA向量+2DF2向量即3(-c,-b)=(-a,-b)+2(c,-b)
即(-3c,-3b)=(-a+2c,-3b,),
所以-3c=-a+2c,a=5c,e=1/5
问题2:解2元一次方程1、【1】y=2x-7 【2】5x+3y+2z=2【3】3x-4z=42、【1】4x-9x=17【2】3x+y+15z=18【3】x+2y+3z=2[数学科目]
第一题,X=2,Y=-3,Z=1/2
第二题X=-5/7,Y=8/15,Z=13/9
问题3:两条数学难题
请放大 看不清
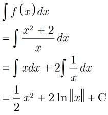
问题4:已知f(x)=(x²+2)/x,那么∫ f(x)dx=用纸写出来好不好[数学科目]

问题5:不要给我粘贴一大坨的数学学习方法,比如多听课什么的,根本不管用.属于比较聪明的,学的比较轻松的那种,但是数学一直是我的弱项.但在竞赛课上一直属于勉强能跟上的那种,老师出题一直都[政治科目]
作为一个大学里本来数学很差,后来名列前茅的,我跟你讲讲我的体会哈.
我高中也没上数学竞赛的,实话说数学竞赛纯粹是数学游戏的那种技巧.实在是锻炼大脑而已,没太大的用的.
你说到120拿90.我想说的是真的第一相信自己不差的.从你的贴上看来似乎你的基础题应该都做的不错,只是稍微难一点的就想不到.我想说,不能否认,数学考天分的.不是每个人努力了都能当数学家,这是我们院长说的.但是我认为你想学好高高中数学是一点问题都没有的.你要做的就是弄清楚为什么没想出来这个问题!我一开始也是感觉看答案就懂,和你一样.但是我是这么做的:我看一遍之后,过一段时间再来看题,但是不看答案了.然后一步一步做,做到卡壳的时候一定不要急着看答案,仔细体会,到底为什么卡壳了,我还需要什么条件才能继续往下做这个题.想好以后,如果没有思路,再看答案.你会发现你明白了这个题对你的关键步骤!请把这个关键步骤记下来,记下来它解决了你的什么问题(刚才卡壳的条件).
高中的题目题型没有那么多的.相信很快你就能提高啦:)
然后会的题如果你确保每次能很快做对 确实不要做那么多无用功啦.不是干做题哦!总结是总要的.自己总结的东西往往更有体会.总结多少,我想说一本好的练习全部总结完了就基本上够用了.总有不会做的题得,呵呵.我高中数学不错的,但是最后一题也经常做不完.
【最后】
当不当物理学家等你来大学了再看吧,哈哈.这个可是真的哦.
- 评论列表(网友评论仅供网友表达个人看法,并不表明本站同意其观点或证实其描述)
-
