欢迎您访问52IJ教育培训网,今天小编为你分享的数学方面的学习知识是通过网络精心收集整理的:“f-4_按(X-4)的幂展开多项式f(x)=x^4-5x^3+x^2-3x+4[数学]”,注意:所整理内容不代表本站观点,如你有补充或疑问请在正文下方的评论处发表。下面是详细内容。
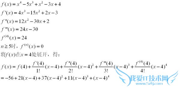
将f(x)=x^4-5x^3+x^2-3x+4按X-4的乘幂:先求出各阶导数
f'(x)=4x^3-15x^2+2x-3.
f''(x)=12x^2-30x+2.
f'''(x)=24x-30
f''''(x)=24.
f'''''(x)=0(由此可知,后,余项为0,也就是说,这是无误差.)
再求出下列数据:f(4)=-56,f'(4)=21,f''(4)=74,f'''(4)=66,f''''(4)=24
于是f(x)=x^4-5x^3+x^2-3x+4
=-56+21(x-4)+(74/2!)(x-4)^2+(66/3!)(x-4)^3+(24/4!)(x-4)^4
=-56+21(x-4)+37(x-4)^2+11(x-4)^3+(x-4)^4
其他回答
可以告诉你一个思路:令Y=X-4
则上式可化为关于Y的多项式,即可
但是我看了,计算很麻烦
其他类似问题
问题1:按(x-4)的幂多项式f(x)=x ^4 -5x+x-3x+4[数学科目]
将f(x)=x^4-5x^3+x^2-3x+4按X-4的乘幂:先求出各阶导数 f'(x)=4x^3-15x^2+2x-3.f''(x)=12x^2-30x+2.f'''(x)=24x-30 f''''(x)=24.f'''''(x)=0(由此可知,后,余项为0,也就是说,这是无误差.) 再求出下列数据:...
问题2:如果说按(X-4)的乘幂多项式:f(x)=x^4-5x^3+x^2-3x.[数学科目]
最高次是x^4
所以可以成
f(x)=a0+a1(x-4)+a2(x-4)^2+a3(x-4)^3+a4(x-4)^4
=x^4-5x^3+x^2-3x
把x=4代入
可以得到a0=-60,a0=-60
然后两边求导,把x=4代入,得到a1=21
在求导,代入4,a2=37,...,a3=11,a4=1
问题3:按(x-4)的幂多项式f(x)=x^4-5x^3+x^2-3x+4[数学科目]
将f(x)在x=4处,用泰勒公式
过程如下图:

问题4:按(x—4)的幂多项式f(x)=X∧4-5X∧3+X∧2-3X+4[数学科目]
我来帮你 不让你扣分我来帮你 不让你扣分我来帮你 不让你扣分我来帮你 不让你扣分我来帮你 不让你扣分我来帮你 不让你扣分我来帮你 不让你扣分
问题5:将多项式1+2x+3x^2+4x^3+5x^4按(x+1)幂.[数学科目]
1+2x+3x^2+4x^3+5x^4=5(x+1)⁴-16(x+1)³+21(x+1)²-12(x+1)+3
(1+2x+3x^2+4x^3+5x^4)/(x+1)=(5x³-x²+4x-2)余3,
=> 1+2x+3x^2+4x^3+5x^4=(5x³-x²+4x-2)(x+1)+3;
同理5x³-x²+4x-2=(5x²-6x+10)(x+1)-12,
5x²-6x+10=(5x-11)(x+1)+21=[5(x+1)-16](x+1)+21=5(x+1)²-16(x+1)+21,
=> 1+2x+3x^2+4x^3+5x^4=(5x³-x²+4x-2)(x+1)+3
=[(5x²-6x+10)(x+1)-12](x+1)+3
={[5(x+1)²-16(x+1)+21](x+1)-12}(x+1)+3
=5(x+1)⁴-16(x+1)³+21(x+1)²-12(x+1)+3
- 评论列表(网友评论仅供网友表达个人看法,并不表明本站同意其观点或证实其描述)
-
