欢迎您访问52IJ教育培训网,今天小编为你分享的高考数学方面的学习知识是通过网络精心收集整理的:“定积分_tt+1在(1,2)上的定积分[数学]”,注意:所整理内容不代表本站观点,如你有补充或疑问请在正文下方的评论处发表。下面是详细内容。
本文发布时间:2016-04-18 14:34 编辑:勤奋者
精选知识
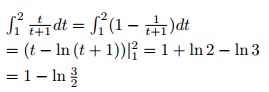
如图:

其他回答
∫(1,2)tdt/(t+1)
=∫(1,2)(t+1-1)dt/(t+1)
=∫(1,2) [1-1/(t+1)]dt
=∫(1,2)dt-∫(1,2)dt/(t+1)
=t|(1,2)-ln(t+1)|(1,2)
=(2-1)-(ln3-ln2)
=1-ln(3/2)
其他类似问题
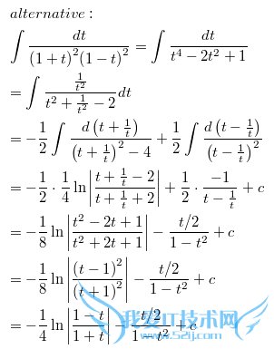
问题1:定积分1/(1+t)^2(1-t)^2[数学科目]


问题2:∫√1+t^2 dt在0到sinx上的定积分[数学科目]
这个形式的定积分是不可以求的
但是∫(0,sinx)√(1+t^2) dt这个式子的导数是可以求的
原题是不是求d[∫(0,sinx)√(1+t^2) dt]/dx呢?
问题3:f(x)=x+2倍的 f(t)在0-1上的定积分 求f(x)f(x)=(x+2)倍的 f(t)在0-1上的定积分 求f(x)[数学科目]
设f(t)在0-1定积分是a
两边对f(x) 0-1积分
a=(1/2x^2+2x)(0-1积分)a
所以a=2.5a所以a=0
所以f(x)=0
问题4:(2-t)dt在(1,2)上的定积分是多少?1/2还是3/2?[数学科目]
1/2
问题5:在0~1 求1/t-(sint)^2定积分[数学科目]
供参考:

- 评论列表(网友评论仅供网友表达个人看法,并不表明本站同意其观点或证实其描述)
-
