高考数学
-
类别:高考数学 发布时间:16-04-18 点击:2001
回访每一个客户所以是普查法其他类似问题问题1:解不等式:0≤x2-x-2≤4.[数学科目]由x2-x-2≥0得x≥2或x≤-1①…(3分)由x2-x-2≤4得x2-x-6≤0∴-2≤x≤3②…(3...
-
类别:高考数学 发布时间:16-04-18 点击:1714
波特兰开拓者队十号.是不是要这个?trailblazerNo.10其他回答你不会是翻译句子要用到吧==我们老师今天也叫我们查这个词,貌似就是trailblazerNo.10。其他类似问题问题...
-
类别:高考数学 发布时间:16-04-18 点击:1825
4/5+2/3=8/15(1+8/15+4/5)÷3=7/3÷3=7/9(1-7/9):(4/5-7/9)=2/9:1/35=10:1小李88÷(10+1)x10=80元小刘88-80=8元在我回答的右上角点击【评价】,然后就可以选择【满意...
-
类别:高考数学 发布时间:16-04-18 点击:2016
韩语:????!发音:salanghaiyou其他回答作业君找到的参考例题:【问题】:我爱你!用韩文怎么说追问:【答案】:????...
-
类别:高考数学 发布时间:16-04-18 点击:1581
7、由条件可知三角形BOC为等边三角形,得BC=OB=10mm所求面积S=25X10+1/2X10X5√3+3.142X10X10X300/360≈555.139、189n=21X9n,n是整数,√189n=√21nX9也是整数,所...
-
类别:高考数学 发布时间:16-04-18 点击:1732
不一定需要如果题目中是求对应比例则保证对应项的单位是相同的即可比如1cm→10km求10cm长度则只需xkm/10cm=10km/1cm即可其他类似问题问题1:cm化成km,进率是?如果有...
-
类别:高考数学 发布时间:16-04-18 点击:1948
11÷2=5(趟)…1(桶);5+1=6(趟);答:要打满水缸他需要走6趟;故答案为:6.其他类似问题问题1:打满水缸要11桶水.王林每次只能提两桶水,要打满水缸他需要走...
-
类别:高考数学 发布时间:16-04-18 点击:1515
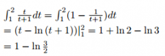
如图:其他回答∫(1,2)tdt/(t+1)=∫(1,2)(t+1-1)dt/(t+1)=∫(1,2)[1-1/(t+1)]dt=∫(1,2)dt-∫(1,2)dt/(t+1)=t|(1,2)-ln(t+1)|(1,2)=(2-1)-(ln3-ln2)=1-ln(3/2)其他类...
-
类别:高考数学 发布时间:16-04-18 点击:1853
正四棱锥的三视图是正面视图,左侧面视图和俯视图正四棱锥的侧面是:底边为a(假设的)的下三角形正四棱锥的所有内容:所以有棱长都为a,所以有侧面都为正三角形,侧面积和...
-
类别:高考数学 发布时间:16-04-18 点击:1773
一次函数y=kx+b当k大于0,b=0时,图像在一,三象限,当k小于0,b=0时,图像在二,四象限,当k大于0,b大于0时,图像在一,二,三象限,当k大于0,b小于0时,图像在一,三,四象限,当k...
-
微山一中吧_[2013·微山一中]在△ABC所在的平面内有一
类别:高考数学 发布时间:16-04-18 点击:1910A欲求两三角形面积之比只需求出高的比,变换已知的向量等式即可得出两三角形面积之比等于高的比值.2+=-,即2+=+=,即=3,即点P在边AC上,且PC=AC,即△PBC...
-
类别:高考数学 发布时间:16-04-18 点击:1710
1,突发事件的突发性和难以预见性!2,突发事件的不确定性和非常规性!3,突发事件的危害性!4,突发事件的信息有限性和多渠道传播性!5,突发事件的地域性和延伸性!其他类似...
-
比赛时间_友谊赛 U16 比赛时间是90分钟还是80分钟一场
类别:高考数学 发布时间:16-04-18 点击:1808u16是90分钟,不管是友谊赛还是正式比赛,16岁以下比赛是80分钟其他类似问题问题1:一般国际足球赛的比赛时间为多长?1、九十分钟2、八十分钟3、七十分钟4、六十分钟90...
-
类别:高考数学 发布时间:16-04-18 点击:1762
(6)把被减数看作8份,减数就是的份,差就是8-的=5份,差:减数=5份:的份=5:的;(2)5÷8=4.625=62.5%.故答案为:5:的,62.5....
-
已知三个非负数_已知3个非负数a,b,c满足3a加2b加c等
类别:高考数学 发布时间:16-04-18 点击:1604把C先看成是常数3A+2B=5-C2A+B=1+3C解方程组A=7C-3B=7-11C且有,C=(A+3)/7;C=(7-B)/11因为ABC均大于等于0,所以C的最小值为3/7;C的最大值为7/11将用C表示的AB代入M=3A...






