欢迎您访问52IJ教育培训网,今天小编为你分享的学习资料方面的学习知识是通过网络精心收集整理的:“郑老师想为希望小学_郑老师想为希望小学四年级(3)班的同学购买学习用品,...[数学]”,注意:所整理内容不代表本站观点,如你有补充或疑问请在正文下方的评论处发表。下面是详细内容。
本文发布时间:2016-04-20 11:27 编辑:勤奋者
精选知识
答:平均每次降价的百分率为10%.
1、设书包价格为X元,则每本字典的价格为(X-8)元
3X+2*(X-8)=124
解得X=28
所以书包价格为28元,字典的价格为20元
2、假设买Y个书包,40-Y本字典,余额则为:
900-28Y-20*(40-Y)=100-8Y
所以当Y=12时100-8Y=4最小
即余下的钱最少是4元,购买书包12个字典28本
其他类似问题
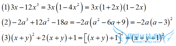
问题1:3x-12x三次方-2a三次方+12a2-18a(x+y)2+2(x+y)+1[数学科目]

朋友想念你 很高兴为您解答!
请放心使用,有问题的话请追问
采纳后你将获得5财富值.
你的采纳将是我继续努力帮助他人的最强动力!
问题2:一间厨房长45分米,宽35分米.要在厨房地面上铺正方形地砖,需要选边长为多少分米的地砖,才能铺的既整齐又节约?(地砖的边长要求正分米数)[数学科目]
该题考量的是最大公约数问题,则地砖的边长为5分米.
希望可以帮到你.
问题3:某楼盘准备以每平方米5000元的均价对外销售,由于国务院有关房地产的新政策出台后,购房者持币观望.为了加快资金周转,房地产开发商对价格经过两次下调后,决定以每平方米4050元的[数学科目]
设平均每次降价的百分率是x,根据题意列方程得,
5000(1-x)2=4050,
解得:x1=10%,x2=1910
答:平均每次降价的百分率为10%.
问题4:(1)明明家买了一辆价值12万的小轿车,如果一次性全款付清,可享受车价九六折优惠.打完折后.这辆小轿车的售价为多少万元?(2)将20千克含糖15%的糖水,稀释成含糖5%的糖水,需加水多少千克?[数学科目]
1 12*0.96=11.52万元
2 20*15%÷5%-20=40千克
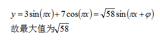
问题5:函数 y=3sinπx+根号7cosπx的最大值[数学科目]

- 评论列表(网友评论仅供网友表达个人看法,并不表明本站同意其观点或证实其描述)
-
