同学们提问关于“概率论答案_概率论习题解答一辆交通车载客25人,途经9个站,每位乘...[数学]”的问题,52IJ师说平台通过网络上精心整理了以下关于“概率论答案_概率论习题解答一辆交通车载客25人,途经9个站,每位乘...[数学]”的一些有用参考答案。请注意:文中所谈及的内容不代表本站的真正观点,也请不要相信各种联系方式。下面是本网所整理的“概率论答案_概率论习题解答一辆交通车载客25人,途经9个站,每位乘...[数学]”的相关信息:
本文发布时间:2016-04-13 10:14 编辑:勤奋者
?
问题
概率论习题解答一辆交通车载客25人,途经9个站,每位乘...
科目:数学 关键词:概率论答案
优质解答
每个人每个站下车概率是1/9 不下车概率是8/9
1 那么第i站停车概率=1-(8/9)^25 25个人至少一个在这一站下车
2 两个站i j都不停车概率=(7/9)^25 那么至少有一站停车概率=1-(7/9)^25
3 i站3个人下车概率=C(25,3)*(1/9)^3 *(8/9)^22 选出3人在这一站下车 剩余22人不在这一站下车
回答完毕!
其他类似问题
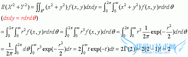
问题1:概率论的一道题 求详解第一张最后一步怎么到的第二张 求内容详细的解释

问题2:求概率论习题答案第五版沈恒范,悬赏分不重要但要有过程的那种[数学科目]
豆丁网http://www.docin.com/p-748393284.html
问题3:一道有关概率论的习题,某公司招聘需经过四项考核,各项考核独立,每个应聘者都要经过四项考核,只要有一项不通过就不能被录用.假设某生参加应聘,能通过一、二、三、四考核的概率为0.6,0.8[数学科目]
(1)一三项通过,但仍被淘汰,则二四项至少有一项未通过:0.6*0.9*(1-0.8*0.95)=0.1296
(2)因为按顺序,则:P=0.4+0.6*0.2+0.6*0.8*0.1+0.6*0.8*0.9*0.05=0.58916
问题4:大二概率论一题

问题5:概率论题目,第十一题求解答

- 评论列表(网友评论仅供网友表达个人看法,并不表明本站同意其观点或证实其描述)
-
