欢迎您访问52IJ教育培训网,今天小编为你分享的数学方面的学习知识是通过网络精心收集整理的:“漫画书店_书店原有漫画书和童话书共232本,卖出漫画书的一半,又...[数学]”,注意:所整理内容不代表本站观点,如你有补充或疑问请在正文下方的评论处发表。下面是详细内容。
第一题 如果不卖漫画书的一半 买进26本童话书 那么此时漫画书就是童话书的2倍 所以此时童话书是整体的1/3 (232+26)*(1/3)=258/3=86 86本童话书
第二题 而他们相差200元(一个少100一个多100就相等) 甲减少50 乙增加50 此时乙比甲多6倍也就是此时他们相差300 300是甲的6倍 甲是50 此时乙是350
此时是甲给乙50的后果 所以甲原有100 乙原有300
其他类似问题
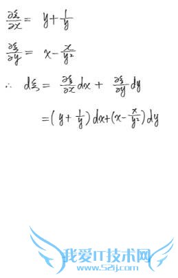
问题1:ζ=xy+x/y求dζ?求解答过程?[数学科目]

问题2:求一道因式分解题步骤和答案、加急~(xy+1)(x+1)(y+1)+xy=(xy+1)(xy+x+y+1)+xy[数学科目]
(xy+1)(x+1)(y+1)+xy=(xy+1)(xy+x+y+1)+xy
=(xy+1)(xy+1)+(x+y)(xy+1)+xy
=[(xy+1)+x][(xy+1)+y]
;;;应该比较清楚了吧
问题3:uv和xy什么关系 [数学科目]
题目中u=x+y,v=y^2,所以δf/δx=δf/δu,δf/δy=δf/δu+2y*δf/δv
问题4:先化简,在求值 [(xy+2)(xy-2)-2(x2y2-2)]/xy,其中x=10,y=-1/25[数学科目]
先化简,在求值 [(xy+2)(xy-2)-2(x2y2-2)]/xy,其中x=10,y=-1/25 求详细解题过程
原式=(x2y2-4-2x2y2+4)/(xy)=-xy=-10×(-1/25)=2/5;
如果本题有什么不明白可以追问,
问题5:曲线xy+e^(x+y)=1在(0,0)点的切线斜率为y′=——— 答案为-1,[数学科目]
xy+e^(x+y)=1
y+xy'+e^(x+y)*(1+y')=0
0+0*y'+e^(0+0)*(1+y')=0
1+y'=0
y'=-1
- 评论列表(网友评论仅供网友表达个人看法,并不表明本站同意其观点或证实其描述)
-
