欢迎您访问52IJ教育培训网,今天小编为你分享的数学方面的学习知识是通过网络精心收集整理的:“已知实数a满足_已知实数a、b满足:a?b=1,那么1a2+1+1b2+1的值为___.[数学]”,注意:所整理内容不代表本站观点,如你有补充或疑问请在正文下方的评论处发表。下面是详细内容。
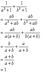
∵1
a
2+1+1b
2+1=a
2+b
2+2a
2b
2+b
2+a
2+1,∴当a?b=1时a2b2=(ab)2=1
∴原式=
a
2+b
2+21+b
2+a
2+1=1.其他回答
1
步骤:将a=1/b代入式子中,即可得到结果
其他类似问题
问题1:已知实数a,b满足ab=1,求值:(1)1+a分之b+1+b分之b; (2)1+a的平方分之1 + b的平方+1分之1主要是第二问,第一问做出来了- -[数学科目]
您好:
ab=1 b=1/a
(1)
b/(1+a)+b/(1+b)
=(1/a)/(1+a)+(1/a)/(1+1/a)
=1/a(1+a)+a/a(a+1)
=(1+a)/a(1+a)
=1/a
(2)
1/(1+a2)+1/(1+b2)
=1/(1+a2)+1/(1+(1/a)2)
=1/(1+a2)+a2/(a2+1)
=(1+a2)/(1+a2)
=1
不明白,可以追问
如有帮助,记得采纳,谢谢
祝学习进步!
问题2:已知实数ab满足ab=1那么a平方+1分之1+b平方+1分之1求值[数学科目]

如有不明白,可以追问.如有帮助,记得采纳,谢谢
问题3:已知实数a, b满足ab=1, a+b=2求代数式a的平方b+ab的平方的值化简求值:(4ab的立方-8a的平方b的平方) 除4ab+(2a+b)( 2a-b) , 其中a= 2, b=1[数学科目]
(1)a2b+ab2=ab(a+b)=1x2=2
问题4:已知实数a、b满足(a+b)2=1和(a-b)2=25,则a2+b2+ab=______.[数学科目]
∵(a+b)2=1,(a-b)2=25,
∴a2+b2+2ab=1①,a2+b2-2ab=25②,
①+②得:a2+b2=13,
①-②得:ab=-6,
∴a2+b2+ab=13-6=7.
故答案为:7.
问题5:已知:实数a.b满足条件根号a-1+(ab-2)的平方=0试求ab分之1+(a+1)(b+1)分之1+(a+2)(b+2)分之1+.+(a+2004)(b+2004)分之1的值[数学科目]
根号和平方大于等于0,相加等于0,若有一个大于0,则另一个小于0,不成立
所以两个都等于0
所以a-1=0,ab-2=0
a=1,ab=2,b=2/a=2
所以1/ab+1/(a+1)(b+1)+……+1/(a+2004)(b+2004)
=1/1*2+1/2*3+……+1/2005*2006
=(1-1/2)+(1/2-1/3)+……+(1/2005-1/2006)
=1-1/2006
=2005/2006
- 评论列表(网友评论仅供网友表达个人看法,并不表明本站同意其观点或证实其描述)
-
