欢迎您访问52IJ教育培训网,今天小编为你分享的数学方面的学习知识是通过网络精心收集整理的:“xe_f(x)=xe^-x (0,+00)的积分[数学]”,注意:所整理内容不代表本站观点,如你有补充或疑问请在正文下方的评论处发表。下面是详细内容。
f(x)=xe^-x
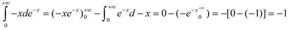
∫[0,+∞) f(x)dx
=∫[0,+∞) xe^(-x)dx
=-∫[0,+∞) xde^(-x)
=-xe^(-x)[0,+∞) +∫[0,+∞) e^(-x)dx
=-xe^(-x)[0,+∞) -e^(-x)[0,+∞)
=1
其他回答
利用分部积分法:原式转化为

其他类似问题
问题1:积分问题:(1)f'(x)+xf'(-x)=x;(2)F(x)f(x)=xe^x/2(1+x)^2 其中F'(x)=f(x),F(0)=1,F(x)>0.征求答案和过程!(1)f'(x)+xf'(-x)=x(2)F(x)f(x)=xe^x/2(1+x)^2 其中F'(x)=f(x),F(0)=1,F(x)>0.[数学科目]
(1)令x = -x 代入原方程,得到另一个方程,解之得到f'(x)的一个代数式,解常微分方程即得结果.
(2)首先有事实dF^2 = 2F * F' = 2Ff
解常微分方程dg/dx = (xe^x/2(1+x)^2)/2,得到g(x),又F^2 = g(x),可以得到结果.
问题2:xe^x的积分怎么求 ,负无穷[数学科目]
设u=x,dv=e^xdx 那么,du=dx,v=e^x.于是,∫xe^x=xe^x-∫e^xdx=xe^x-e^x+C=e^x(x-1)+C 这是标准的分部积分法的应用.
你的系数是怎么加的,没写清楚啊!
问题3:设积分f(x)dx=xe^x+C,'则f(x)=[数学科目]
∫f(x)dx=xe^x+C
则f(x) 等于 对(xe^x+C)求导
f(x)=xe^x+e^x
问题4:Xe^-X 应该如何对X积分?X乘以e的负X次方求积分[数学科目]
用分部积分法:
∫xe^-xdx = -∫xd(e^-x) = -xe^-x + ∫(e^-x)d(x) = -xe^-x - e^-x
问题5:rt,这个怎么求y=xe^x积分[数学科目]
楼主见图!

- 评论列表(网友评论仅供网友表达个人看法,并不表明本站同意其观点或证实其描述)
-
