欢迎您访问52IJ教育培训网,今天小编为你分享的高考数学方面的学习知识是通过网络精心收集整理的:“重庆高考数学试题_2013重庆高考数学(理)22题若Pm的子集A中任意两个元素...[数学]”,注意:所整理内容不代表本站观点,如你有补充或疑问请在正文下方的评论处发表。下面是详细内容。
本文发布时间:2016-04-18 14:06 编辑:勤奋者
精选知识
数学中的并就是指两个或两个以上集合的公共元素所组成的集合.
其他类似问题
问题1:重庆高考数学2013文科,这步;由作图易知双曲线的渐近线的斜率ba必须满足根号33[数学科目]

两条直线之间夹角为60度,那么一条渐近线的渐近线的倾斜角大于等于30度,如果等于30度,出现矛盾,60度的情况可以满足.自己画个图,很容易就看出来
问题2:08年重庆理高考数学第10题
(08年重庆)第10题:函数f(x)= (sinx-1)/√ (3-2cosx-2sinx) 的值域是( )
(A)[- √ 2/2,0](B)[-1,0] (C)[- √ 2,0](D)[- √ 3,0]

问题3:2013浙江高考数学(理)最后一题我就问一个细节就是第二问丨CD丨=……是怎么求的标题打错了.这题不是杭州的,不好意思各位,各位只看题就行[数学科目]
丨CD丨表示CD长,假设了abcd的坐标后,能够带入求出AB CD 的长,又因为它们两垂直,面积就好算了.画个坐标图会一目了然的
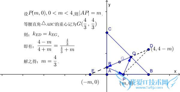
问题4:2013年湖南高考数学(理)选择题第八题详解.求详解:等腰直角三角形ABC中,AB=AC=4,点P是边AB上异于A、B的一点,光线从点P出发,经BC、CA反射后又回到点P(见试卷图),若光线QR经过△ABC的重心,则[数学科目]

问题5:2013年辽宁高考数学理科16题如何解(16)为了考察某校各班参加课外书法小组的人数,在全校随机抽取5个班级,把每个班级参加该小组的认为作为样本数据.已知样本平均数为7,样本方差为4,且样[数学科目]
由方差的定义得到每个样本数据与平均值之差的平方和为4*5=20
20=3^2+1^2+0+1^2+3^2 此时各个样本值为4 6 7 8 10
所以样本数据中的最大值为10
- 评论列表(网友评论仅供网友表达个人看法,并不表明本站同意其观点或证实其描述)
-
