数学
-
类别:数学 发布时间:16-04-21 点击:1604
其他类似问题问题1:谁有一年级上册思品与生活教学计划?[政治科目]品德与生活教学计划一、班级情况分析本班学生40人,其中男生22人,女生18人.这些天真、活泼,有着强烈...
-
按权展开_把下列二进制数写成按权展开式11011,101.01
类别:数学 发布时间:16-04-21 点击:20011*2的4次方法+1*2的3次方+0*2的2次方+1*2的1次方+1*2的0次方其他类似问题问题1:二进制数转换成十进制数的方法是按权?[数学科目]比如11010[2进制]=1X2^4+1X2^3+0X2^2...
-
类别:数学 发布时间:16-04-21 点击:1678
质数:又称素数.指在一个大于1的自然数中,除了1和此整数自身外,没法被其他自然数整除的数.换句话说,只有两个正因数(1和自己)的自然数即为素数.比1大但不是素数的数...
-
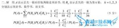
类别:数学 发布时间:16-04-21 点击:1854
答案如下图:答题不易,请及时采纳,谢谢!其他类似问题问题1:有没有会做概率论的,1、{0,1,2,3}2、15%3、14、-2P^2+2p5、-76、0.37、X^2(4),(备注:卡方4,打不出来...
-
类别:数学 发布时间:16-04-21 点击:1542
估计缺少追上的时间.反正如果追上的时间乘以速度差20cm就是水池的周长,除以π就是直径了.其他回答搞不清其他类似问题问题1:小华和爸爸一前一后沿着一个圆形水池从同...
-
类别:数学 发布时间:16-04-21 点击:1623
n=4代入Sn=(-1)^n*an-1/(2^n)得s4=a4-1/16,即a4+S3=a4-1/16∴S3=-1/16,n=3代入Sn=(-1)^n*an-1/(2^n)得s3=-a3-1/8,a3=-1/8-S3=-1/8-(-1/16)=-1/16.同理可得a1=-1/4n...
-
类别:数学 发布时间:16-04-21 点击:1791
2.7×⒊7+0.37×73=2.7×3.7+3.7×7.3=3.7×﹙2.7+7.3﹚=3.7×10=37其他回答(2.7+7.3)×3.7=10×3.7=37其他类似问题问题1:2.7*3.7+37*0.73简便运算[数学科目]2.7*3....
-
2011年福建高考数学_2011福建高考调研卷数学第9模拟已
类别:数学 发布时间:16-04-21 点击:1983g(x)=x3-2ax2+4x=x(x2-2ax+4).∵g(x)在区间【0,2】的图像上存在两点A,B使直线AB平行于x轴,∴在区间[0,2]内g(x)非单调函数,即存在极值.g‘(x)=x2-4ax+4=0在[0,2...
-
类别:数学 发布时间:16-04-21 点击:1879
一个鸡蛋50克,含5克蛋白质.鸡蛋白的热量是20千卡/个.其他类似问题问题1:一个鸡蛋的热量是多少?营养成分含量(每100克)热量144.00大卡碳水化合物2.80克脂肪8.80克蛋白...
-
类别:数学 发布时间:16-04-21 点击:1689
7天前6天时,每天合计是爬上1米,合起来就是6米最后一天,白天爬4米,就已经爬上顶了,不必再下滑其他类似问题问题1:1只蜗牛总是白天向上爬4米晚上睡觉时滑落两米,1面墙...
-
类别:数学 发布时间:16-04-21 点击:1568
依题意得a+b=0,cd=1,|m|=6,m=±6;∴①当m=6时,原式=06-1+6=5;②当m=-6时,原式=0?6-1+6=5.故a+bm-cd+|m|的值为5.其他回答-7或5其他类似问题问题1:若a、b互...
-
类别:数学 发布时间:16-04-21 点击:2034
16分之1124分之1748分之35其他类似问题问题1:写出三个在三分之二和四分之三之间的最简分数[数学科目]三分之四三分之五四分之一--问题2:试问比三分之二大但比四分之...



