数学
-
类别:数学 发布时间:16-04-17 点击:1549
1Ααalphaa:lf阿尔法角度;系数2Ββbetabet贝塔磁通系数;角度;系数3Γγgammaga:m伽马电导系数(小写)4Δδdeltadelt德尔塔变动;密度;屈光度5Εεepsilonep`s...
-
2014辽宁高考理综_2014年辽宁理科数学高考第16题16.对
类别:数学 发布时间:16-04-17 点击:1771附上本题的多种解法赏析:其他类似问题问题1:2013年辽宁高考数学理科16题如何解(16)为了考察某校各班参加课外书法小组的人数,在全校随机抽取5个班级,把每个班级参...
-
611zy.com_0611ZY0804 8×0.4 不锈钢管的承压能力多少
类别:数学 发布时间:16-04-17 点击:1651压力容器最大能承受的压力的计算公式:P=(2δσbΦ)/Di式中:P----压力δ----容器壁厚mm.σb----钢材的抗拉强度MPa(查GB150第二章).Φ----焊缝系数.(查设计计算书...
-
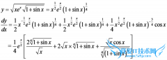
类别:数学 发布时间:16-04-17 点击:1638
解答见图(稍等)其他类似问题问题1:一道有关求导的数学题由f(x)=x^3-3x+1怎么转化成3x^2-3=0[数学科目](x^n)'=n*x^(n-1)f'(x)=3x^2-3问题2:求导数g(x)=x^(5x)(5+5In...
-
类别:数学 发布时间:16-04-17 点击:1556
为什么这么麻烦?坐标正算可以用POL(X1-X2,Y1-Y2)结果在I和J里面,I为距离、J为方位角;坐标反算用REC(距离,方位角),结果也在I和J里面,I为X、J为Y.不过我还是回答你上...
-
计数单位是什么_...计数单位是(一),它( )最高位.这是
类别:数学 发布时间:16-04-17 点击:1918整数部分的最低位是(个位),计数单位是(一),它(没有)最高位.小数部分的最高位是(十分位),计数单位是(十分之一),它(没有)最低位.两个“它”分别指整数部分及小...
-
类别:数学 发布时间:16-04-17 点击:1924
杯子太小其他类似问题问题1:贝贝为妈妈端来满满的一杯牛奶,弟弟又往杯子里放了一大勺白糖,结果牛奶都溢了出来,这个现象充分说明了毛[物理科目]贝贝为妈妈端来满满的...
-
wangyou.com_...-BD--C的大小:http:img701.photo.wa
类别:数学 发布时间:16-04-17 点击:1839BD=2,AB=AD=AC=BC=CD=√2,根据勾股逆定理,△BCD和△BAD都是等腰直角三角形,取BD的中点M,连结AM和CM,则CM⊥BD,AM⊥BD,〈AMC是二面角A-BD-C的平面角,在三角形ACM中,AM=...
-
数字钟_在5.6.7.8.9这几个数字钟,任意挑2个数字做分
类别:数学 发布时间:16-04-17 点击:20025/8、6/8、5/9、6/9、7/9、5/7、6/7都小于7/88/9、6/5、7/5、8/5、9/5、7/6、8/6、9/6、8/7、9/7、9/8都大于7/8其他类似问题问题1:在5、6、7、8、9这几个数字中,任...
-
罗辑思维40_逻辑思维题 5 9.1 1.3 9 40.7 3.7 41.3 5.
类别:数学 发布时间:16-04-17 点击:1958答案:C5规律:5=9.1/1.3-2=7-29=40.7/3.7-2=11-2=41.3/5.9-2=7-2=5其他类似问题问题1:逻辑思维题~1=52=153=2154=2145那么5=?[数学科目]1、“脑筋急转弯+逻辑推理”...
-
类别:数学 发布时间:16-04-17 点击:1627
就是公约数只有1的两个数34是46不是有公约数2其他回答公因数只有1的两个自然数,叫做互质数,互质数一定是一个以上的,讲的是互相间的关系,所以显然34是互质数,4与...
-
类别:数学 发布时间:16-04-17 点击:1517
设小丽买了苹果x千克,则橘子为(6-x)千克,可得:3.2x+2.6(6-x)=183.2x+15.6-2.6x=183.2x-2.6x=18-15.60.6x=2.4x=4则橘子为:6-2=2(千克)其他回答x/3.2+(18-x)/2.6=6其...
-
adjoin_美国大学宿舍里doubledouble adjoin bath 是指
类别:数学 发布时间:16-04-17 点击:1677是四个人share一个bathroom.其他类似问题问题1:英语翻译尤其是其中的Apt是什么意思,Apt是Apartment=公寓的意思QuadApt是有四项设施的公寓-空调,浴室,厨房问题2:美...
-
双色球148期_关于概率论的问题大家关注双色球2007年14
类别:数学 发布时间:16-04-17 点击:2003我没关注彩票.但按照概率的话就没有什么不可能的了.某事件概率为零,也不是说这个事件永远不发生.你不是说了嘛,没有分析的话,随机买的话,中的概率在1/16,而总投注在75...
-
类别:数学 发布时间:16-04-17 点击:1775
k越大,1+1/2+1/3+……+1/k与lnk就越接近,正如7楼所说,欧拉常数定义为γ=limk+∞1+1/2+1/3+……+1/k-lnk,这是由于计算反比例函数y=1/x与X轴之间的面积是用到不定积分...




