欢迎您访问52IJ教育培训网,今天小编为你分享的师说方面的学习知识是通过网络精心收集整理的:“微积分基本公式_微积分基本公式”,注意:所整理内容不代表本站观点,如你有补充或疑问请在正文下方的评论处发表。下面是详细内容。
本文发布时间:2016-05-19 22:40 编辑:勤奋者
精选知识
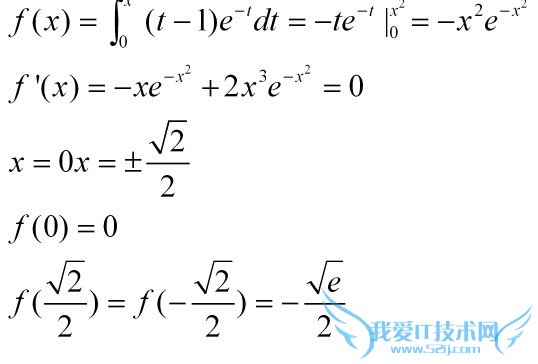
由F(x)=∫(a,g(x))f(t)dt得F'(x)=f(g(x))*g'(x)
所以Φ'(x)=(x^2-1)*e^(-x^2)*2x=(2x^3-2x)*e^(-x^2)
令Φ'(x)=0,则(2x^3-2x)*e^(-x^2)=0,即x^3-x=0,
解得:x1=0,x2=1,x3=-1
设f(t)=t^3-t,则令f'(t)=3t^2-1=0解得:t1=√3/3,t2=-√3/3
当t∈(-∞,-√3/3)时,f(t)单调递增,
当t∈(-√3/3,√3/3)时,f(t)单调递减,
当t∈(√3/3,+∞)时,f(t)单调递增,
所以当x∈(-∞,-1)时,x^3-x0;
当x∈(0,1)时,x^3-x0.
于是当x∈(-∞,-1)时,Φ'(x)
其他回答
请看

- 评论列表(网友评论仅供网友表达个人看法,并不表明本站同意其观点或证实其描述)
-
