欢迎您访问52IJ教育培训网,今天小编为你分享的数学方面的学习知识是通过网络精心收集整理的:“概率论与数理统计课后答案_概率论数理统计习题(求答案)1.设甲袋中有四个红球和...[数学]”,注意:所整理内容不代表本站观点,如你有补充或疑问请在正文下方的评论处发表。下面是详细内容。
1.用贝叶斯公式:
从甲袋摸出两个白球放到乙袋且从乙袋摸出一白球的概率为:(1/15)*(4/7)=4/105
从甲袋摸出两个红球放到乙袋且从乙袋摸出一白球的概率为:(6/15)*(2/7)=
12/105
从甲袋摸出一红一白放到乙袋且从乙袋摸出一白球的概率为:(8/15)*(3/7)=
24/105
故所求概率:P=(4/105)/(4/105+12/105+24/105)=1/10
2.若相互独立,则P(AB)=P(A)*P(B)>0,而二者互斥,A,B不能同时成立故P(AB)=0,矛盾.
3.因为印有红色白色黑色各有两球,所以P(A)=1/2 P(B)=1/2 P(C)=1/2
A,B同时成立的情况是摸出三色球的情形,概率为1/4,所以P(AB)=1/4
同理,P(BC)=1/4,P(AC)=1/4
A,B,C同时成立的情况也是摸出三色球的情形,故P(ABC)=1/4
因为P(AB)=P(A)*P(B),P(CB)=P(C)*P(B),P(AC)=P(A)*P(C),P(ABC)不等于P(A)*P(B)*P(C),故事件A,B,C两辆互相独立,但部互相独立
其他类似问题
问题1:概率论与数理统计习题某射击小组共有20名射手,其中一级射手4人,二级射手8人,三级射手7人,四级射手1人,一、二、三、四级射手通过选拔进入比赛的概率分别是0.9,0.7,0.5,0.2,求任选一名射手能
第一,你得先理解清楚“一、二、三、四级射手通过选拔进入比赛的概率分别是0.9,0.7,0.5,0.你才能入手.本人的解题思路为:
设:一、二、三、四级射手分别为A1,A2,A3,A4;设:一、二、三、四级射手进入比赛的为B1,B2,B3,B4.
P(A1)=4/(4+8+7+1)=0.2
P(A2)=8/20=0.4
P(A3)=7/20=0.35
P(A4)=1/20=0.05
P(B1|A1)=0.9
P(B2|A2)=0.7
P(B3|A3)=0.5
P(B4|A4)=0.2
下面用到全概率公式
P(B)=P(A1)P(B1|A1)+P(A2)P(B2|A2)+P(A3)P(B3|A3)+P(A4)P(B4|A4)
=0.2*0.9+0.4*0.7+0.35*0.5+0.05*0.2
=0.18+0.28+0.175+0.01=0.645=64.5%
不懂可以问!
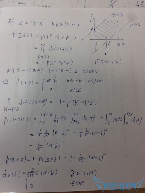
问题2:急求概率论与数理统计一题在A地至B地(长为m公里)的公路上,事故发生地在离A地X公里处,事故处理车在离A地Y公里处,X与Y均(0,m)上的均匀分布,且设X与Y独立.求事故与处理车的距离Z的概率[数学科目]

问题3:帮忙做一下概率论与数理统计的一道题已知随机变量X和Y分别服从N(1,3的平方 ) 和N(0,4的平方 ),且X和Y的相关系数P XY(就是那个符号,打不出来XY为下脚标) =-1/2 ,设Z=X/3 +Y/3 ,(1)求Z的数[数学科目]
详细解答如下,点击放大图:

问题4:概率论数理统计的习题我学的不好.每题什么类型 最好都说一下.题目应该不难
10.X(拔)=(X1+X2+X3+X4)/4 由正态分布可加性知 X(拔)仍服从正态分布
且E(X(拔))=E((X1+X2+X3+X4)/4)=(E(X1)+E(X2)+E(X3)+E(X4))/4=1
Var(X(拔))=Var((X1+X2+X3+X4)/4)=(Var(X1)+Var(X2)+Var(X3)+Var(X4))/16=1
X(拔)~N(1,1)
同理(X1-X2)~N(0,8),(X3-X4)~N(0,8); (X1-X2)/2√2~N(0,1),(X3-X4)/2√2~N(0,1)
[(X1-X2)/2√2]^2=(X1-X2)^2/8~卡方(1),[(X3-X4)/2√2]^2=(X3-X4)^2/8~卡方(1)
所以((X1-X2)^2+(X3-X4)^2)/8~卡方(2)
11.P(X
问题5:概率论与数理统计一题/>[数学科目]
首先应该明确的是泊松分布的均值和方差都是λ,所以总体的均值和方差野都是λ,然后就是样本的均值服从分布 (总体的均值,总体方差/n) 所以D(样本均值)=总体方差/n=λn 然后就是根据公式:样本方差/总体方差=(n-1)的卡方分布/n-1
所以样本方差服从 ((n-1)的卡方分布/n-1)*总体方差 第二问结果为λ
- 评论列表(网友评论仅供网友表达个人看法,并不表明本站同意其观点或证实其描述)
-
