欢迎您访问52IJ教育培训网,今天小编为你分享的高考数学方面的学习知识是通过网络精心收集整理的:“师傅搞dy_dy 和y'的关系学了很就都搞不清楚.[数学]”,注意:所整理内容不代表本站观点,如你有补充或疑问请在正文下方的评论处发表。下面是详细内容。
本文发布时间:2016-04-18 13:46 编辑:勤奋者
精选知识
y'=dy/dx
dy=y'dx
其他回答
y'=dy/dx,y'表示导数,也就是微商
其他类似问题
问题1:∫y*[e^(-y)]dy 求详解[数学科目]

问题2:y'=dy和y'=dy/dx和dy''=dy'/dx哪个是对的?y是关于x的函数[数学科目]
第二个是对的
问题3:比较一下dx和△x,dy和△y的大小关系[数学科目]
设y = f(x),则
dy = f'(x)dx
△y = f(x+dx) - f(x) = f'(x)dx + o(dx)
于是比较dy与△y的大小就是要看高阶无穷小o(dx)的符号.对于一般的函数f(x),o(dx)的符号不一定,无法比较;对于凸函数o(dx)>0,于是dy < △y;对于凹函数,o(dx) △y.
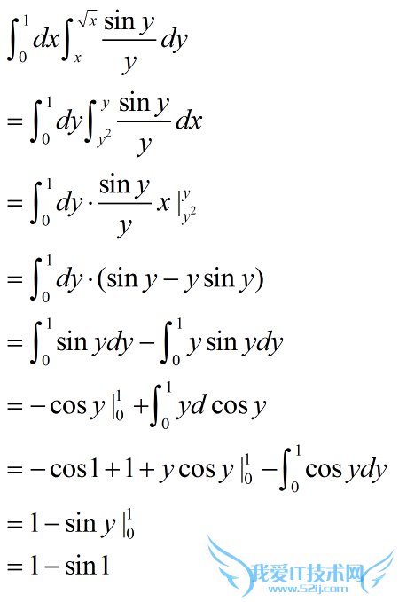
问题4:∫(siny/y)dy[数学科目]
交换积分顺序,

问题5:y=3in2x,dy[数学科目]
y=3ln2x
dy=3dln2x
=3*1/(2x)d2x
=3/(2x)*2dx
=3/x dx
- 评论列表(网友评论仅供网友表达个人看法,并不表明本站同意其观点或证实其描述)
-
