数学
-
类别:数学 发布时间:16-04-17 点击:2050
61..这里有其他数的平方公式不写了,得数给你依序列出来(从1х1到100х100):1、4、9、16、25、36、49、64、81、100、121、144、169、225、256、289、324、361、400、4...
-
手打吧_...3,5.第六题的1,2为什么不能图片。手打吧~
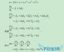
类别:数学 发布时间:16-04-17 点击:1665(1)dz/dx=3x^2y-y^3dz/dy=x^3-3xy^2d2z/dx2=3xy,d2z/dy2=-3xy,d2z/dxdy=3x^2-3y^22)t=xydt/dx=y;dt/dy=x;d2t/dx2=0;d2t/dy2=0;d2t/dxdy=1dz/dt=0.5*(lnt)^(-0.5)/t=1...
-
类别:数学 发布时间:16-04-17 点击:2045
因为玩石头、剪子、布,小明赢的可能性是13,小红赢的可能性也是13,平局的可能性也是13;所以该游戏公平.故选:B.....
-
把99拆成4个数_把99拆成四个数第一个加2 第二个减2 第
类别:数学 发布时间:16-04-17 点击:1626设后来都等于X(x+2)+(x-2)+2x+x/2=99x+2+x-2+2x+x/2=999x/2=99x=22则拆成22+2,22-2,22/2,22*2=24,20,11,44其他回答把99拆成四个数,使得第一个数加2,第二个数减2,第三...
-
脸蛋n开0.33_已知a,b,c大于0,且a COS^2+bsin^2&
类别:数学 发布时间:16-04-17 点击:1512已知acos^2+bsin^2((a^0.5cos)^2+(b^0.5sin)^2)(cos^2+sin^2)>=(a^0.5cos^2+b^0.5sin^2)^2.因为a,b,c>0,两边可以开方,所以c^0.25>a^0.5cos^2+b^0.5sin^2其他类似问题...
-
类别:数学 发布时间:16-04-17 点击:1659
SAMSUNG其他类似问题问题1:疯狂猜图白底黑椭圆两个蓝圈人物角色两个字[数学科目]伊娃问题2:疯狂猜图白底蓝色椭圆猜5个英文字母[数学科目]SKYPE.问题3:疯狂猜图白...
-
类别:数学 发布时间:16-04-17 点击:1882
D,A,C,D,D,C,C,C,C,D,B,D.1,2,1,1,2,2,1,2.其他类似问题问题1:因为怕没人回答浪费掉,[数学科目]C,D,A,C,B,C,A,C,C,B,A,B,2,2,2,1,1,1,1,2.问题2:离散数学试题1、下...
-
类别:数学 发布时间:16-04-17 点击:1654
这个句子一般用于自嘲:我怎么这么傻!比如上课某同学回答了老师的问题,结果发现回答错了,而且正确答案很简单,这时这个同学就可以说sillyme!我刚才怎么没想到呢?其他回...
-
bf266_...hi.baidu.com%BA%F4%BA%F4%5Falbumitem266b1
类别:数学 发布时间:16-04-17 点击:1506延长CD交BA的延长线于E.∵BF平分∠ABC,CD⊥BD,∴△BCD≌△BED,∴CD=ED.∵∠E=∠AFB=90°-∠ABD,∠EAC=∠FAB=90°,AC=AB,∴△EAC≌△FAB,∴CE=BF.∴BF=2CD.其他类似问...
-
cf英文字母_已知英文字母M的ASCFII码值为109,那么英
类别:数学 发布时间:16-04-17 点击:1554106其他类似问题问题1:(20)已知英文字母m的ASCII码值为109,那么英文字母p的ASCII码值是[数学科目]如果按照正常的话,你这个ASCII码值是错的你算一下,p与m之间差3个...
-
类别:数学 发布时间:16-04-17 点击:1534
用洗涤剂.其他回答草Q清死了,哈哈其他类似问题问题1:实验题:会游泳的牙签的发现是什么?因为,洗洁精和洗衣粉一沾上水就会发生化学反应,使得其互相排斥,就有了一很...
-
类别:数学 发布时间:16-04-17 点击:2007
因为:120=2×2×2×3×530=2×3×5最小公倍数是:最大公因数与非公质因数的乘积.所以另一个数是2×2×2×3=24,故答案为:24.其他回答24其他类似问题问题1:两个...
-
类别:数学 发布时间:16-04-17 点击:1621
1美制加仑(加仑)=3.785411784升1升=0.26417205235815美制加仑(加仑)希望能解决您的问题.其他类似问题问题1:加仑和升的换算一加仑等于3.785升问题2:加仑与升的换算[...
-
类别:数学 发布时间:16-04-17 点击:1619
这个类型就是从里层向外层计算.根号2=2的1/2次方,然后乘以2得2的3/2次方.再开方,得到2的3/4次方,然后乘以2得2的7/4次方.再开方,得到2的7/8次方其他类似问题问题1:用...
-
类别:数学 发布时间:16-04-17 点击:1697
1公顷=10000平方米4900平方米=0.49公顷其他回答4900平方米=0.49公顷其他类似问题问题1:1平方千米等于多少平方米多少公顷[数学科目]参考智能手机工具:《Smart度量衡...

