欢迎您访问52IJ教育培训网,今天小编为你分享的物理方面的学习知识是通过网络精心收集整理的:“建湖实验初中_建湖实验初中九年级课外兴趣小组的同学按照图的实物...[物理]”,注意:所整理内容不代表本站观点,如你有补充或疑问请在正文下方的评论处发表。下面是详细内容。
本文发布时间:2016-04-18 12:53 编辑:勤奋者
精选知识
∴灯泡正常发光时的电阻:R=UI=3.8V0.33A≈11.5Ω;
由表格中数据知,不同电压下灯丝的阻值分别为:
R1=
R2=
R3=
R4=
R5=
显然灯丝的阻值随电流增大而增大,此时灯泡变亮,灯丝的温度升高,故灯丝的电阻随温度的升高而增大.
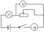
(2)电压表0~15V量程损坏,电压表与滑动变阻器并联,电路图如下图所示:

故答案为:(1)11.5;变大;温度.
(1)由表中数据可知,当灯泡两端电压为额定电压3.8V时,通过灯泡的电流为0.33A;
∵I=UR
∴灯泡正常发光时的电阻:R=UI=3.8V0.33A≈11.5Ω;
由表格中数据知,不同电压下灯丝的阻值分别为:
R1=
U
1I
1=1.5V0.2A=7.5Ω,R2=
U
2I
2=2.5V0.25A=10Ω,R3=
U
3I
3=3V0.28A≈10.7Ω,R4=
U
4I
4=3.8V0.33A≈11.5Ω,R5=
U
5I
5=4.5V0.41A≈10.98Ω,显然灯丝的阻值随电流增大而增大,此时灯泡变亮,灯丝的温度升高,故灯丝的电阻随温度的升高而增大.
(2)电压表0~15V量程损坏,电压表与滑动变阻器并联,电路图如下图所示:

故答案为:(1)11.5;变大;温度.
- 评论列表(网友评论仅供网友表达个人看法,并不表明本站同意其观点或证实其描述)
-
