欢迎您访问52IJ教育培训网,今天小编为你分享的数学方面的学习知识是通过网络精心收集整理的:“九久1输送带_某工厂甲、乙两个车间包装同一 种产品,在自动包装传...[数学]”,注意:所整理内容不代表本站观点,如你有补充或疑问请在正文下方的评论处发表。下面是详细内容。
本文发布时间:2016-04-19 16:04 编辑:勤奋者
精选知识
(1)为系统抽样;
(2)
×(102+101+99+103+98+99+98)=100;
×(110+115+90+85+75+115+110)=100;
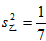
×[(102-100) 2 +(101-100) 2 +(99-100) 2 + (103-100) 2 +(98-100) 2 +(99-100) 2 +(98-100) 2 ] =
×[(110-100) 2 +(115-100) 2 +(90-100) 2 + (85-100) 2 +(75-100) 2 +(115-100) 2 +(110-100) 2 ]=
∴
,
故甲车间包装产品的质量较稳定。
- 评论列表(网友评论仅供网友表达个人看法,并不表明本站同意其观点或证实其描述)
-
