欢迎您访问52IJ教育培训网,今天小编为你分享的数学方面的学习知识是通过网络精心收集整理的:“快乐飞盘_快乐8快乐飞盘任选一速度如何?[数学]”,注意:所整理内容不代表本站观点,如你有补充或疑问请在正文下方的评论处发表。下面是详细内容。
骗概,釜蜀至邱.雍遂
其他类似问题
问题1:一件快乐的事600字,
一件快乐的事
“丁零零……”中队活动的时间到了,老师手里拿着一大卷五颜六色的纸微笑着走上讲台:“同学们,今天,咱们来一次‘折纸比赛’好吗?”“好!”大家一下子全乐起来了.
“预备……开始!”随着老师的一声令下,同学们很快进入角色.你瞧,个个神情专注,嘴抿得紧紧的,两只手像穿梭似的前后来回晃动,一会儿拿起剪刀,一会儿放入胶水.此刻,教室里只听见“沙沙沙”的折纸声与剪刀的剪纸声.10分钟……20分钟……大约半个小时过去了,同学们的杰作大功告成.老师让我们把自己的作品举过头顶.呵!真可谓百花齐放,有飞船,火箭,有猫头鹰,和平鸽,还有宝塔、机器人,也有花草,以及各种各样的头饰等.接下来,拉市让几位做得好的同学拿着自己的杰作上台表演.首先上场的是李涛.只见他两手向后一靠,嘴一歪,眼一瞅,一瘸一拐地走上台,还把自己折好的乌纱帽戴在头上故意把脑袋一晃一晃的,惹得同学们哈哈大笑.他缺额一本正经地拿起“惊堂木”,在桌子上拍了两下,扯着嗓子大喊:“肃静!肃静!”大家更是被他那副摸样逗乐了.越喊,同学们就越笑得厉害.男同学笑得前俯后仰,女同学笑得直摸眼泪.连一向严肃的王老师也忍不住笑了.轮到我了,我快步走上讲台,将折好的空姐帽往头上一戴,太头挺胸在台上走了个来回.此时此刻,我仿佛觉得自己真的成了一名空中小姐,那个神气劲就别提了.下边的同学一个劲的为我鼓掌,喝彩.李鹏、张军和王明表演的“乌鸦和狐狸”更四精彩.乌鸦高高在上,嘴里锨着一块肉,狐狸蹲在下边馋得直流口水,那样子逗得同学们哄堂大笑.当狐狸骗了乌鸦嘴里的肉,正要钻进洞里,只听大喊一声:“妖孽,哪里逃!”说时迟那时快,却见王明说持“宝塔”,一个箭步跨上讲台.顿时,教室里响起了一阵热烈的掌声……
此时此刻,同学们全都沉浸在成功的欢乐之中.欢呼声、喝彩声、笑声、掌声融成一片.虽然只是短暂的一节课,但这欢乐 的时刻,我却难以忘怀.
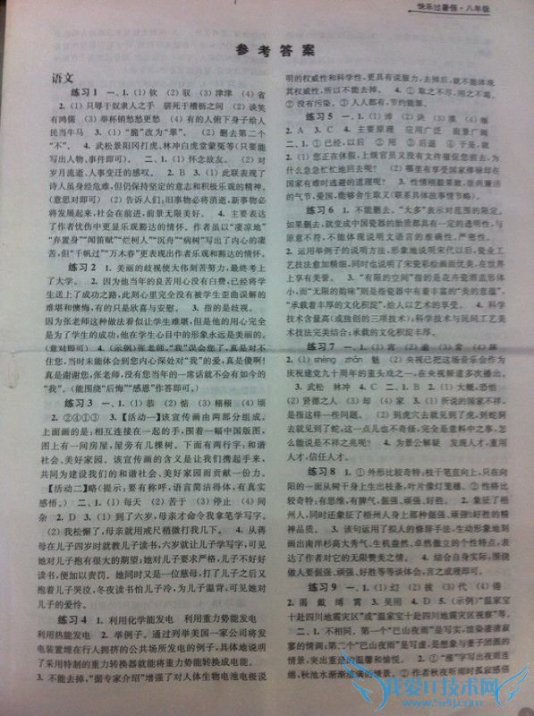
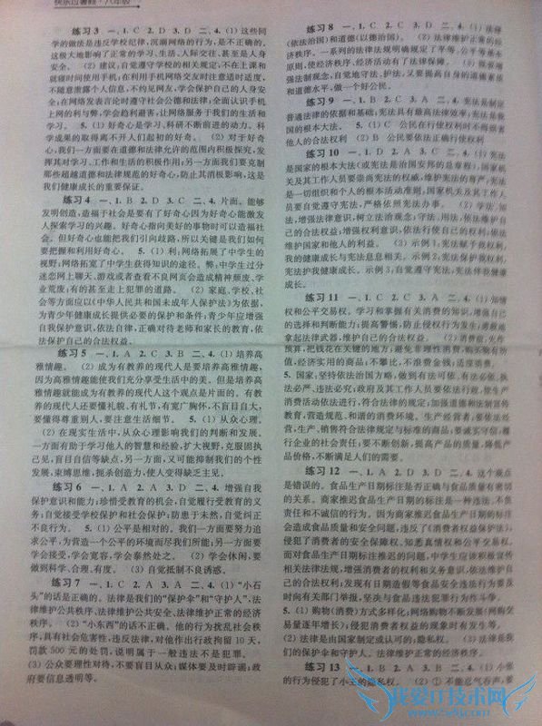
问题2:2014年八年级快乐过暑假答案(江苏科学技术出版社).有的速度发上来.[数学科目]
2014 的












问题3:最快乐的速度(打一成语)这是我今天的作业![语文科目]
这题出错了 应该是问你最快的速度是什么.所以是风驰电掣.
其他:最遥远的地方——天涯海角
最荒凉的地方——不毛之地
最悬殊的区别——天壤之别
最反常的气候——晴天霹雳
最昂贵的稿费——一字千斤
最绝望的前途——山穷水尽
最难做的饭——无米之炊
最高的巨人——顶天立地
最短的季节——一日三秋
最长的腿——一步登天
最有分量的话-一毛不拔
最无作为的人-一事无成
最快的流水-一泻千里
最大的巴掌-一手遮天
最宽的视野-一览无余
最大的利润-一本万利
最怪的人
最高的巨人 顶天立地
最大的嘴&最深的呼吸 气吞山河
最长的腿 一步登天
最大的手 一手遮天
最吝啬的人 一毛不拔
最宽阔的胸怀 胸怀若谷
最长的寿命 万寿无疆
最宝贵的话 金玉良言
最厉害的贼 偷天换日
最宽的嘴巴 口若悬河
最贵的话 一语千金
最难的话 一言难尽
最快的话 一言既出
驷马难追
最重的话 一言九鼎
最准的话 一言为定
最有价值的话 一诺千金
最诚的忠言 金玉良言
最大的誓言 海枯石烂
最广的话 一言千里
最有学问的人 无所不知
最重的头发
最高的地方
最大的家 四海为家
最爱学习的人 如饥似渴
最爱工作的人 废寝忘食
最长的时间 千秋万代
最长的棍子 一柱擎天
最成功的战斗 一网打尽
最惨的结局 一败涂地
最彻底的劳动 斩草除根
最大的满足 天遂人愿
最多的颜色 万紫千红
最费时的工程 百年树人
最繁忙的季节 多事之秋
最公开的事情 尽人皆知
最高明的医术 药到病除
最高超的技术 鬼斧神工
最高明的指挥 一呼百应
最好的记忆 过目成诵
最大的眼 放眼世界
最小的针 无孔不入
最大的地
最怪的动物 虎头蛇尾
最大的容量 包罗万象
最大的差别&最悬殊的区别 天壤之别
最难做的饭 无米之炊
最大的变化 天翻地覆
最大的资源
最短的季节 一日三秋
最大的手术 脱胎换骨
最宽的视野
最大的冒险 孤注一掷
最大的树叶 一叶障目
最大的声响 惊天动地
最高的瀑布 一落千丈
最错的追求 南辕北辙
最远的地方 天涯海角
最大的进展 一步登天
最荒的地方 不毛之地
最险的时候 千钧一发
最快的流水
最大的本领 开天辟地
最反常的气候 晴天霹雳
最昂贵的稿费 一字千金
最小的邮筒 难以置信
最长的句子 文不加点
最大的被子 铺天盖地
最大的空间 无边无际
最大的影集 包罗万象
最大的幸运 九死一生
最好的生意 一本万利
最绝望的前途 山穷水尽
最远的分离 天壤之别
最繁忙的航空港 日理万机
最彻底的美容术 面目全非
最长的一天 度日如年
最好的司机 驾轻就熟
最好的药方 灵丹妙药
最好的箭术 一箭双雕
最公开的事情 尽人皆知
问题4:一个飞盘在5秒内由900rev/min均匀地减到800rev/min 我需要求飞盘的角加速度需要怎么计算?[物理科目]
(900-800)*2*Pi/5
问题5:快乐的小学生活作文,半小时内就要,语句越美越好说明一下运用了哪些修辞手法、心理活动、按什么顺序写的一定要有修辞手法和心理活动啊后面必须有点评,大概一百字左右[语文科目]
1.
痛着童年的逝去,却快乐着青春的颟跚来临;
痛着青春的稍纵即逝,却快乐着青春的美丽可贵;
痛着失败的来临,却快乐着挫折给予的教训与启示;
痛着考验的再次来临,却快乐着自己拥有上亿次的教训,这一次将完成得更精彩……
辗转于红尘之中,人生莫过于两种情感:痛,与快乐.悲哀、伤心、愤怒,这无疑是心灵上的痛;喜悦、亢奋、爱护,就是心中的快乐.虽说“痛”与“快乐”是两种不同并且相反的物质情感,然而这两者又是并存的.如天上下着雨,原来的活动被迫要取消,无疑会引出心中的痛,而当雨停后,万物就得以充分的滋润,接受雨水的捕鱼,生长更快.天上出现了太阳,甚至会出现难得一见的彩虹,这就是快乐;又如天空中的太阳强烈的照射着地面,使你热得烦躁、愤怒,这就是痛,然而这阳光却使长年洪水泛滥成灾的地区得以温暖,使人们得以身体乃至心灵上的慰藉,这不就是快乐吗?
一辈子都要努力精彩地生活着,未免活得太辛苦;无无谓谓的生存,又好像对不起自己的青春及生命的可贵.因此,痛并快乐着的生活使我们更懂得在坏事之中更沉着乐观,凡是向好方面想,因为“痛”与“快乐”是并存的,在痛苦中,必定有能令你快乐的一面,所以,生活就会更精彩!
痛并快乐着的生活,必定无比美丽……
2.
人生难免经受痛苦,也许只有在痛的砥砺后,才会品尝超然的快乐.?——题记?
东非大裂谷的一支,山高、水急,四处散发着高原的气息.这气息是流云被烈日投射在大地上浮动的光影,这气息是湍急的奔流撞击峭壁散落的千堆雪浪,这气息更是到处孕育的生机,是那些给世界增添无限希望的活力.?
一声清脆的鸣叫,打破了午间高原的静谧.寻声望去,只见峭拔的岩壁上,偌大的巢穴里有只小鹰刚刚降临,一团水淋淋的、稚嫩的脑袋还不忘在破壳的第一时间倨傲地摇晃.母鹰舒庞大的羽翼从远处飞来,轻盈地栖止在巢边,小鹰从母亲口中衔过第一口香甜的美味,眼中有点点幸福流露.就这样,小鹰在母亲朝朝暮暮的关怀下,很快就成长为拥有黑色羽毛、锋利双爪的大鹰了.?
这天,鹰子独守巢穴.当它望见远处苍穹中几只雄鹰飞翔盘旋的身影,它的心中猛然升腾起一股冲动,它想飞,它想拥有自己的天地!于是,鹰子悄步踱到巢边,四顾,只见高远的蓝天,峻峭的山岩,葱茏的树丛,飞漱的瀑帘,它对这一切是多么的向往!张开羽翼,它刚要迈出追梦的脚步,却猛地止步了.它怯生生地望着脚下万丈的深渊,幽深的沟涧,它踯躅,它退却,因为它虽然渴望飞翔,但它更害怕死亡.遥望对面山顶一棵无助的野草,它仿佛也读到了相同的命运.?
就在这时,只听头顶一声长鸣,鹰子未及举头,便被猛地推下巢穴.伴随着一道悲惨的哀鸣,鹰子划一道小小的弧便陡然下坠.它的心顿然迷茫,仿佛已然听到死神的召唤.当距离变得模糊,当即将冲破死的界限,本能地,它用尽全身的力气,抖动起翅膀.就在那一瞬,羽尖在水面勾起一串珍珠,鹰子飞起来了!然而,一切出乎意料,当他回到原来的地方,看见的却是平日里相濡以沫的母亲!?它痛苦,它不能理解母亲的致命一击.然而,当他体会了飞翔的快乐,才真正明白,原来没有生死一线痛苦的考验,就不会有如今搏击长空的快感.没有砥砺,也就没有腾飞!?
当雄鹰展翅飞翔的那一刻,我也懂得了,其实人生就是一句话——痛并快乐着.
3深海里有一种微小的五彩斑斓的热带鱼,它们成群结队,它们从不停歇.它们害怕寒冷寂寞的海水,向往温暖炽烈的浪花,所以它们要迁徙到很远的地方去寻找快乐和安逸.
可待抵达温和的水域后,这些美丽的热带鱼又随即开始回游、迁徙,卷入寒冰.
一次次的轮回. ——题记
当生命的无常,抉择的艰深,尘事的燥乱在空气中游弋充斥起来的时候,我们学会了痛苦,学会了杜甫“人生有情泪沾臆,江花江水岂终极”的悲苦难抑,学会了王国维“人生只似风前絮,欢也零星,悲也零星,都作连江点点萍”的刻骨哀叹,也学会了柳永“执手相看泪眼,竟无语凝噎”的锥心感伤 .
于是,“痛苦”像野草一样恣意蔓延.
面对死亡是无法逾越的痛苦.文天祥在零丁洋中留下一片丹心,义无返顾地奔赴幻灭;荆轲白衣飘飘在易水旁流下一段悲壮的歌吟,毅然决然地直驶死亡.那些慑人心魄的彻骨痛苦竟然就这样无声地隐去,为勇者的侠骨丹心所遮蔽,所弥漫,替而代之的是壮怀激烈的人生主题.痛苦被净化,被浓缩,衍生出一种清明真实的高尚人格和不朽价值.
面对困窘危难是无可言喻的痛苦.但是,敌人的凶悍和朝廷的懦弱从来不曾让武岳穆这样的铮铮铁汉低下刚毅的头;残酷的拷打和世俗的非议也从来不曾让哥白尼、布鲁诺放弃对真理的追求和执着.他们都在纠缠的痛苦中追求光明的彼岸,提炼至真至纯至高无上的人性,他们为痛苦下了一个全新的定义,那就是在苦难中的绝不妥协和不倦追求.于是痛苦成为一种磨练,一种与成功和真理相生相息的附带品.
在那么多无奈感叹和痛苦中,应看到它们背后的旖旎和璀璨.在那么多孤苦无常的悲哀中,应看到它们隐藏的明亮可贵的价值.它们檫亮我们的人生,澄清我们的心灵.
我一直认为,在不可把捉的尘世和运命中,我们不要管无情的背弃,不要管苦痛的创痕,不要管生命的短暂,因为痛苦过后,胸腔中散发出的香才真正醉人,真正弥足珍贵.
也许我们长久以来寻找的就是一种挣扎以后的解脱,一种隐忍以后的坦然,一种痛苦过后淋漓尽致的欢畅和尘埃落定的静谧,一种属于自我真实纯粹的价值的绽放和喷薄.
那些微小的热带鱼在幸福过后重新追寻痛苦,就是为了体会交替灵动的快感吧.也许只有这样才能真正地感觉生活圆满的幸福,一切都水到渠成,一切都无恙.
- 评论列表(网友评论仅供网友表达个人看法,并不表明本站同意其观点或证实其描述)
-
