欢迎您访问52IJ教育培训网,今天小编为你分享的数学方面的学习知识是通过网络精心收集整理的:“2013希望杯复赛试题_2013年二十四届八年级希望杯数学竞赛答案[数学]”,注意:所整理内容不代表本站观点,如你有补充或疑问请在正文下方的评论处发表。下面是详细内容。
把你邮箱给我,我给你发过去
其他类似问题
问题1:2010希望杯数学竞赛答案有谁知道今年(2010)年希望杯数学竞赛的答案!一定要是今年的3月14日的数学哦!对了,cvbcgbn,[政治科目]
http://www.gs.cn/matches/questions/2010/0314/353.shtml
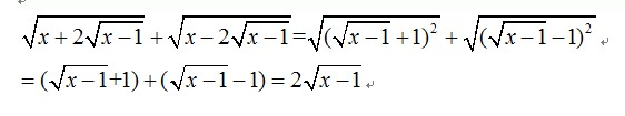
问题2:八年级希望杯数学竞赛训练题当x>2时,化简代数式,根号下(x+2根号(x-1))+根号下(x-2根号(x-1))[数学科目]

问题3:2013年的八年级寒假生活指导答案[语文科目]
寒假作业一周推+八年级各学科寒假生活指导答案(人教版)
语文乐园:
P8一、 1 列:ji籍 tui颓 yi贻 yan俨 ni腻 fang枋 2 列:夕日欲颓、太阳快要落山啦 (课本解释) 3--5 略二、 1 赏析、略 P9 2 为了使儿子劳动勤劳所撤的慌才知父亲都是为了自己.3 《狐假虎威》 4 略p11 (1) 好奇心 (2)学会不懂要问不要光靠一知解的而以为了解整个世界.好好学习,努力开发自己的潜力.(2) 经过无数的危险和艰辛才能取得成功.P12 2、书名:《钢铁怎样炼成的》 作者:奥斯特洛夫斯基 主要内容:以主人公宝尔·柯察金的生活经历为线索,展现了1915到1930年前后俄广阔的历史画面.精彩语录摘抄:朱赫莱被匪徒抓去了.保尔与朱赫莱一起逃跑.由于维克多的告密,保尔被投进了监牢.从监狱出来后,保尔跳进冬妮亚的花园.冬妮亚和保尔产生了爱情.在激战中,保尔头部受了重伤.出院后,他参加恢复和建设国家的工作.冬妮亚和保尔思想差距越来越大,便分道扬镳.在筑路工程快要结束时,保尔得了伤寒,体质越来越坏.1927年,他几乎完全瘫痪了,接着又双目失明.他一方面决心帮助自己的妻子达雅进步;另一方面决定开始文学创作工作.这样,“保尔又拿起了新的武器,开始了新的生活.” 同冬尼娅的爱情纠葛,同丽达磊落的友谊,以及对达雅诚挚的感情表现了保尔精神世界的纯洁.
数学天地:
P13 一、1 B 2 B 3 B 4 D 14页5D二、6、1-3 7、)(2g 8、7 *等腰三角形 10、(1)t s(2)s t 11、2 2 一条直线 12、 g=)(-1 13、(2,0) (0,2) 《2 》2 三、14、 =4.58 15------16题不好打没有.17、△ADE≌△ABE △ADC≌ABA △CDE ≌CBE AC⊥BD18不好打、P15一、1B2C3B二4、)(+12-)(+3 2)(= 2 )(1 (1+1)2=4 m=4 5、6、略 数学不好打、有特殊符号、以上特殊符号【)( 为艾格斯】
品德养成:
P23 情境分析 (1)愧疚(2)1讲文明,有礼貌是中华民族的传统美德.2在人们互相交往中,平和的语气亲切称呼,诚信的态度,都是对他人的尊重友好的表现.P24价值判断 1(错误) 这是对父母的歧视.2(正确) 讲文明,有礼貌是中华民族的传统美德.在人们互相关注中,平和的语气亲切的称呼,诚恳的态度,都是对人尊重的表现.3(错误)竞争与合作是相伴相随的的小竞争与合作无处不在,生活中处处有合作与竞争.4(错误)这种不利于自己长久无谓,只有从小事左起才可以,诚信是与他人的通行证.5(错误)盗版光盘便宜,但侵犯了他人的智利成果权,是一种违法行为.心灵对话 我:如果父母子女之间产生矛盾,我们需要怎么办?我:明白了,子女只有更好的与父母沟通,理解父母,才能有可能避免这些矛盾.我:应该是小女孩老婆婆那里明白了父母的辛劳,理解父母知道自己错了,十分后悔.我:被爸爸妈妈您辛苦了,祝福你们新春愉快,P25 探索实践 (1) 不需要竞争,合作也很重要所以不光要注意竞争,而且还要合作.(2)(3)略 成长故事 思考:当合作过程与他人一起时,要主动站在对方立场思考问题,体谅对方情感.p24 心灵对话 第二三问 .(3)老婆婆的一席话,使她猛然意识到父母多年为她付出的爱.家庭中,父母不仅从生活上抚养、照顾自己,教给基本的生活技能,还从思想品德上关怀、教育自己,教会自己如何做人.父母的爱是最无私、最真挚的爱.(2)当与父母发生矛盾时,不要一时冲动,要学会克制.要理解父母,尊重父母,掌握一定的技巧和方法,与父母更好地沟通.
历史时空:
P27 一、 1北京 鸦片 南京条约2 A五四运动B黄海海战C金田起义 ①B②C③A 3 左宗棠 1875 1876年进入新疆1881年中俄两国签订条约中国收回伊犁188千年在新疆设立行省 4无 身边的历史、 1、19473月山东孟良崮 2略
地理纵横:
29 一、1自驾车游,济南--明孝陵--苏州--黄山--武夷山--广东--澳门--海南岛.可以游到很多景点2 电子导航、雨伞、笔记本电脑、数码相机、饮用水、帐篷、眼镜、风衣p30 二 1 冰雪、大雾 2 水果蔬菜无法运输.3注意保暖,开车注意路面滑大雾天气注意开车.p31 三 1 贴春联 放鞭炮
生物世界:
P35 一、2、(2){7}子房壁 (3){6}胚珠 3、花萼、西红柿 4、传粉不足、染色体改变 二生物与社会 :寄生病毒没有细胞.P36空气,大力搞好个人卫生.3、4略 三、1能 遗传物质改变 2 两对 3 自然环境等.四、略 实践探索:P40活动一:春联起源于桃符,明代桃符改称‘春联’ P42活动三 1.1---B 2---C 3---D 4----A 3、山青水秀风光好 鸟语花香岁月新
物理探索:
一、1.2.3.4.略 P33 二2.10com 3缩小 倒立 左 三、光的泽射 远 较大
问题4:2013年的初三希望杯数学竞赛什么时候考啊?如果答案好的话会加悬赏的[语文科目]
不要急,适当做做那本数学天地挺不错的其实(曾经的银牌选手祝福你)
问题5:谁有2007年希望杯数学竞赛题的答案?2007年希望杯数学竞赛题的答案,求哪位好心大哥大姐给说说![数学科目]
你如果有邮箱的话告诉我,因为里面有图,看不到,在word里才能看到
告诉我个邮箱
第十八届“希望杯”全国数学邀请赛
初一第 2试
2007年4月15日上午8:30至10:30
一、选择题(本大题共10小题,每小题4分,共40分)以下每题的四个选项中,仅有一个是正确的,请将正确答案的英文字母写在每题后面的圆括号内.
1、 假定未拧紧的水龙头每秒钟渗出2滴水,每滴水约0.05毫升,现有一个水龙头未拧紧,4小时后,才被发现拧紧,在这段时间内,水龙头共滴水约( )(用科学记数法表示,结果保留两位有效数字)
(A)1440毫升. (B) 毫升. (C) 毫升. (D) 毫升.
2、 如图1,直线L与∠O的两边分别交于点A、B,则图中以O、A、B为端点的射线的条数总和是( ).
(A)5. (B)6. (C)7. (D)8.
3、 整数a,b满足:ab≠O且a+b=O,有以下判断:
○1a,b之间没有正分数; ○2a,b之间没有负分数;
○3a,b之间至多有一个整数; ○4a,b之间至少有一个整数 .
其中,正确判断的个数为( )
(A)1. (B)2. (C)3. (D)4.
4、 方程 的解是 x=( )
(A) (B) (C) (D)
5、 如图2,边长为1的正六边形纸片是轴对称图形,它的对称轴的条数是( ).
(A)1. (B)3. (C)6. (D)9.
6、 在9个数:-5,-4,-3,-2,-1,0,1,2,3中,能使不等式-3 <-14成立的数的个数是( )
(A)2. (B)3. (C)4. (D)5.
7、 韩老师特制了4个同样的立方块,并将它们如图3(a)放置,然后又如图3(b)放置,则图3(b)中四个底面正方形中的点数之和为( )
(A)11. (B)13. (C)14. (D)16.
图3
8、 对于彼此互质的三个正整数 ,有以下判断:
① 均为奇数 ② 中必有一个偶数 ③ 没有公因数 ④ 必有公因数
其中,不正确的判断的个数为( )
(A)1 (B)2 (C)3 (D)4
9、 将棱长为1厘米的42个立方体积木拼在一起,构成一个实心的长方体.如果长方体底面的周长为18厘米,那么这个长方体的高是( )
(A)2厘米 (B)3厘米 (C)6厘米 (D)7厘米
10、 If ,then ( )
(A) (B)
(C) (D)
二、填空题(本大题共10小题,每小题4分,共40分)
11、 若有理数 满足 ,则
12、 今天(2007年4月15日,星期日)是第18届“希望杯”全国数学邀请赛举行第2试的日子,那么几天以后的第 天是星期
13、 孔子诞生在公元前551年9月28日,则2007年9月28日是孔子诞辰 周年.(注:不存在公元0年)
14、 In Fig.4,ABCD is a rectangle.,The area of the shaded rectangle is
15、 下表是某中学初一(5)班2007年第一学期期末考试数学成绩统计表:
分数 40------59 60-------70 71-------85 86------100
人数 5 19 12 14
这个班数学成绩的平均分不低于 分,不高于 分.(精确到 )
16、 已知 ,其中 代表非0数字,那么
17、 某城市有一百万户居民,每户用水量定额为月平均5吨,由于6,7,8月天热,每户每月多用水1吨,为了不超过全年用水定额,则全年的其它月份每户的用水量应控制在每月平均 吨之内.如果每户每天节约用水2千克,则全市一年(按365天计)节约的水量约占全年用水定额的 %(保留三位有效数字)
18、 都是质数,且满足 ,则
19、 一项机械加工作业,用4台A型车床,5天可以完成:用4台A型车床和2台B型车床,3天可以完成;用3台B型车床和9台C型车床,2天可以完成.若A型、B型和C型车床各一台一起工作6天后,只余下一台A型车床继续工作,则再用 天就可以完成这项作业
20、 设 ,则 和 四个式子中,值最大的是
值最小的是
三、解答题(本大题共3小题,共40分) 要求:写出推算过程.
21、 (本题满分10分)
小明在平面上标出了2007个点并画了一条直线L,他发现:这2007个点中的每一点关于直线L的对称点,仍在这2007个点中,请你说明:这2007个点中至少有1个点在直线L上.
22、 (本题满分15分)
小明和哥哥在环形跑道上练习长跑.他们从同一起点沿相反方向同时出发,每隔25秒钟相遇一次.现在,他们从同一起跑点沿相同方向同时出发,经过25分钟哥哥追上了小明,并且比小明多跑了20圈,求:
(1) 哥哥速度是小明速度的多少倍?
(2) 哥哥追上小明时,小明跑了多少圈?
23、 (本题满分15分)
满足1+3n≤2007,且使得1+5n是完全平方数的正整数n共有多少个?
答案:
一、 选择题(每小题4分.)
题号 1 2 3 4 5 6 7 8 9 10
答案 B D A C C C D C B D
二、 填空题(每小题4分;两个空的小题,每个空2分.)
题号 11 12 13 14 15 16 17 18 19 20
答案
三
2557
18 67;9;80;9
98 ;1.22
2
三.解答题
21.假设这2007个点都不在直线L上,由于其中每个点 (i=1,2,……,2007)关于直线L的对称点 仍在这2007个点中,所以 不在直线L上.
也就是说,不在直线L上点 (i=1,2,……,2007)与 关于直线L对称的点 成对出现,即平面上标出的点的总数应是偶数个,与点的总数2007相矛盾!
因此,“这2007个点都不在直线L上”的假设不能成立,即这2007个点中至少有1个点在直线L上.
22.设哥哥的速度是 米/秒,小明的速度是 米/秒.环形跑道长s米.
(1)由“经过25分钟哥哥追上小明,并且比小明多跑了20圈”,知
经过 分钟哥哥追上小明,并且比小明多跑了1圈.所以
整理,得,
所以, .
(2)根据题意,得
即 解得,
故经过了25分钟小明跑了
(2)另解 由 ,知小明每跑1圈,哥哥就比小明多跑1圈,所以当哥哥比小明多跑20圈时,小明也跑了20圈.
23.由条件1+3n≤2007得
n≤668,n是正整数.
设1+5n= (m是正整数),则
,这是正整数.
故可设m+1=5k,或m-1=5k(k是正整数)
○1当m+1=5k是, ,由
,得,k≤11
当k=12时, >668.
所以,此时有11个满足题意的正整数n使1+5n是完全平方数;
○2当m-1=5k时, ,
又 < ,且当k=11时 <668,
所以,此时有11个满足题意的正整数n使1+5n是完全平方数.
因此,满足1+3n≤2007且使1+5n使完全平方数的正整数n共有22个.
- 评论列表(网友评论仅供网友表达个人看法,并不表明本站同意其观点或证实其描述)
-
