欢迎您访问52IJ教育培训网,今天小编为你分享的数学方面的学习知识是通过网络精心收集整理的:“4.8_3(0.72-x+1)=4.8[数学]”,注意:所整理内容不代表本站观点,如你有补充或疑问请在正文下方的评论处发表。下面是详细内容。
本文发布时间:2016-04-20 12:10 编辑:勤奋者
精选知识
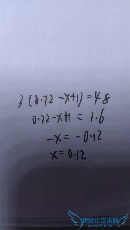
0.72-x+1=4.8÷3
1.72-x=1.6
x=1.72-1.6
x=0.12
其他类似问题
问题1:3(0.72-x+1)=4.

问题2:3(0.72-x+1)=4.8解方程[数学科目]

问题3:3(0.72-x+1)=4.8(解方程)[数学科目]
3(0.72-x+1)=4.8
1.72-x=1.6
x=1.72-1.6
x=0.12
仅供参考 :-D
问题4:3(0.72-x)=1.8[数学科目]
3(0.72-x)=1.8
0.72-x=0.6
x=0.12
问题5:3(0.72-x)=1.8怎么解[数学科目]
3(0.72-x)=1.8
0.72-x=0.6
X=0.72-0.6=0.12
- 评论列表(网友评论仅供网友表达个人看法,并不表明本站同意其观点或证实其描述)
-
