欢迎您访问52IJ教育培训网,今天小编为你分享的数学方面的学习知识是通过网络精心收集整理的:“2010年亚运会女排决赛_有人预测:在2010年的广州亚运会上,排球赛决赛将在中...[数学]”,注意:所整理内容不代表本站观点,如你有补充或疑问请在正文下方的评论处发表。下面是详细内容。
本文发布时间:2016-05-19 15:52 编辑:勤奋者
精选知识
(1)设中国队以3:1获胜的事件为A,
若中国队以3:1获胜,则前3局中国队恰好胜2局,然后第4局胜,
所以,
。
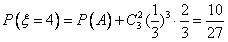
(2)ξ的可能取值为3,4,5,
,
,
,
所以,ξ的期望是
。
若中国队以3:1获胜,则前3局中国队恰好胜2局,然后第4局胜,
所以,
。(2)ξ的可能取值为3,4,5,
,
,
,所以,ξ的期望是
。- 评论列表(网友评论仅供网友表达个人看法,并不表明本站同意其观点或证实其描述)
-
