欢迎您访问52IJ教育培训网,今天小编为你分享的数学方面的学习知识是通过网络精心收集整理的:“某工厂计划为灾区_...某厂计划生产1800吨纯净水支援灾区人民,为尽快把...[数学]”,注意:所整理内容不代表本站观点,如你有补充或疑问请在正文下方的评论处发表。下面是详细内容。
本文发布时间:2016-04-19 20:23 编辑:勤奋者
精选知识
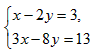
(1)解方程组
;
(2)列方程解应用题:
2010年春季我国西南五省持续干旱,旱情牵动着全国人民的心。“一方有难、八方支援”,某厂计划生产1800吨纯净水支援灾区人民,为尽快把纯净水发往灾区,工人把每天的工作效率提高到原计划的1.5倍,结果比原计划提前3天完成了生产任务,求原计划每天生产多少吨纯净水? (1)
由(1)得:x=3+2y,(3)
把(3)代入(2)得:3(3+2y)-8y=13,
化简 得:-2y=4,
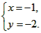
∴y=-2,
把y=-2代入(3),得x=-1,
∴方程组的解为
;
(2)设原计划每天生产x吨纯净水,则依据题意,得:
整理,得:4.5x=900,
解之,得:x=200,
把x代入原方程,成立,
∴x=200是原方程的解,
答:原计划每天生产200吨纯净水。
- 评论列表(网友评论仅供网友表达个人看法,并不表明本站同意其观点或证实其描述)
-
