欢迎您访问52IJ教育培训网,今天小编为你分享的数学方面的学习知识是通过网络精心收集整理的:“2r_积分∫(2r){(x^2+r^2)^(32)} dr求完全具体步骤!∫(...[数学]”,注意:所整理内容不代表本站观点,如你有补充或疑问请在正文下方的评论处发表。下面是详细内容。
∫(2r)/{(x^2+r^2)^(3/2)} dr
=∫(x^2+r^2)^(-3/2) dr^2
=∫(x^2+r^2)^(-3/2) d(x^2+r^2)
=(x^2+r^2)^(-3/2+1)/(-3/2+1)+C
=-2(x^2+r^2)^(-1/2)+C
=-2/√(x^2+r^2)+C
其他类似问题
问题1:求积分:∫(r^3/(r^2+x^2))dr 问错了。分母上还有个二分之三次方~∫(r^3/(r^2+x^2)^(3/2))dr[数学科目]
∫r3/(r2+x2)^(3/2) dr
令u=r2+x2
du=2r dr
原式=(1/2)∫(u-x2)/u^(3/2) du
=(1/2)∫[1/√u - x2/u^(3/2)] du
=(1/2)[2√u + 2x2/√u] + C
=√u + x2/√u + C
=(u+x2)/√u + C
=(r2+2x2)/√(r2+x2) + C
问题2:求积分∫(0,a)r/√(x^2+r^2)dr[数学科目]

解题关键:积分过程中吧x做常数处理,第二类换元积分法.
满意请采纳!
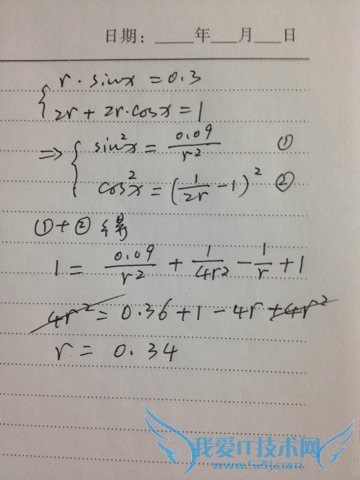
问题3:三角函数方程组 sin(x)*r=0.3 2r+cos(x)2r=1 求r的值[数学科目]

问题4:关于高数二重积分,为什么在S范围内积分,S:(x-R)^2+y^2+z^2=R^2,积分式为∫∫2R(x-R)dS=0?[数学科目]
做一个变换 u=x-R 则 S:u^2+y^2+z^2=R^2
积分为 ∫∫2R u dS = 2R∫∫ u dS
然后由对称性可知结果为0.
问题5:(x/3+3/√x)^9的式常数项:=C(r,9)*(x/3)^(9-r)*(3/√x)^r =C(r,9)*3^(2r-9)*x(9-3r/2)(x/3)^(9-r)是怎样变成3^(2r-9)(3/√x)^r是怎样变成x(9-3r/2)[数学科目]
你理解错了
它是把系数作系数处理,韦知数x单独拿开处理
C(r,9)*(x/3)^(9-r)*(3/√x)^r=C(r,9)*3^(2r-9)*x(9-3r/2)
其中含x的有x^(9-r)*x^(-r/2)=x^(9-3r/2)
系数是C(r,9)*(1/3)^(9-r)*3^r=C(r,9)*3^(2r-9)
- 评论列表(网友评论仅供网友表达个人看法,并不表明本站同意其观点或证实其描述)
-
