欢迎您访问52IJ教育培训网,今天小编为你分享的数学方面的学习知识是通过网络精心收集整理的:“abc教育网_在△ABC中,∠ABC=45°,tan∠ACB= .如图,把△ABC的一...[数学]”,注意:所整理内容不代表本站观点,如你有补充或疑问请在正文下方的评论处发表。下面是详细内容。
本文发布时间:2016-04-21 13:14 编辑:勤奋者
精选知识
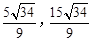
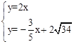
| (1) 在Rt△OCE中,OE=OCtan∠OCE= ,∴点E(0, 。设直线AC的函数解析式为y=kx+ ,有 ,解得:k= 。∴直线AC的函数解析式为y= 。(2) 在Rt△OGE中,tan∠EOG=tan∠OCE= ,设EG=3t,OG=5t, ,∴ ,得t=2。∴EG=6,OG=10。∴ /(3) 存在。 ①当点Q在AC上时,点Q即为点G, 如图1,作∠FOQ的角平分线交CE于点P 1 , 由△OP 1 F≌△OP 1 Q,则有P 1 F⊥x轴, 由于点P 1 在直线AC上,当x=10时, y= ∴点P 1 (10, )。②当点Q在AB上时,如图2, 有OQ=OF,作∠FOQ的角平分线交CE于点P 2 ,过点Q作QH⊥OB于点H,设OH=a, 则BH=QH=14-a, 在Rt△OQH中,a 2 +(14-a) 2 =100, 解得:a 1 =6,a 2 =8,∴Q(-6,8)或Q(-8,6)。 连接QF交OP 2 于点M. 当Q(-6,8)时,则点M(2,4);当Q(-8,6)时,则点M(1,3)。 设直线OP 2 的解析式为y=kx,则2k=4,k=2。∴y=2x。 解方程组 ,得 。∴P 2 ( );当Q(-8,6)时,则点M(1,3).同理可求P 2 ′( )。综上所述,满足条件的P点坐标为 (10, )或( )或( )。 |
| (1)根据三角函数求E点坐标,运用待定系数法求解。 (2)在Rt△OGE中,运用三角函数和勾股定理求EG,OG的长度,再计算面积。 (3)分两种情况讨论求①点Q在AC上;②点Q在AB上.求直线OP与直线AC的交点坐标即可。 |
- 评论列表(网友评论仅供网友表达个人看法,并不表明本站同意其观点或证实其描述)
-

,∴点E(0,
。
,解得:k=
。
。
,
,∴
,得t=2。
/
)。
,得
。
);
)。