欢迎您访问52IJ教育培训网,今天小编为你分享的数学方面的学习知识是通过网络精心收集整理的:“微积分公式表_怎么用微积分证明球的表面积和体积公式?[数学]”,注意:所整理内容不代表本站观点,如你有补充或疑问请在正文下方的评论处发表。下面是详细内容。
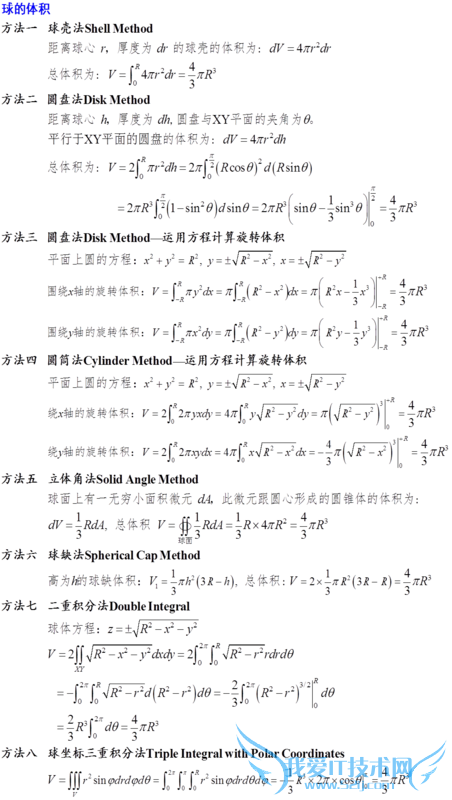
下图提供,六种球面面积积分法,八种体积积分法.
方法尚有很多,这里只能抛砖引玉.
点击放大、再点击再放大:


其他类似问题
问题1:怎么用微积分证明球的表面积和体积公式?[数学科目]
设球的半径为R,球截面圆到球心的距离为x
则球截面圆的半径为√(R^2-x^2)
以x作球截面圆的面积函数再对其积分就是半球的体积
有dV=2(2(pi)(R^2-x^2))
对其在[0,R]积分可得V=(4/3)(pi)(r^3)
这个函数积分很简单就不写过程了.
球面积相对复杂点(在积分方面)
思想还是一样
对球截面圆的周长函数积分可得球表面积
照上面,球截面圆的周长函数为2(pi)√(R^2-x^2)
对x进行[0,R]积分得到半球表面积
即dS=4(pi)√(R^2-x^2)
对dS积分,设x=R(sin t),t=[0,pi/2]
则dS=4(pi)R(cos t)√(R^2-(R(sin t))^2) dt
=4(pi)(R^2)(cos t)^2 dt
=2(pi)(R^2)+(2(pi)(R^2)(sin 2t) dt) ,t=[0,pi/2]
则解2(pi)(R^2)(sin 2t) dt积分有2(pi)(R^2)
即得S=4(pi)(R^2)
问题2:请用高等数学(微积分)的知识解释:球的体积公式的导数就是球的表面积公式?[数学科目]
假设将球镀上一层非常薄的金属膜(原球半径是r,膜厚度为dr),那么膜的体积就是V(r+dr)-V(r)=V'*dr
又由于膜非常薄,故体积=面积*dr=S*dr
所以,dV=V'*dr=S*dr
S=V
问题3:球的表面积与体积的计算公式
球的表面积计算公式:球的表面积=4πr^2,r为球半径 .
球的体积计算公式:V球=(4/3)πr^3,r为球半径 .
问题4:球的表面积和体积公式?
S=4(派)R^2
V=4/3(派)R^3
问题5:球的表面积计算公式 请用微积分证明一遍,[语文科目]
我今天刚复习了这道题啊.
各位兄台,就把这机会让给我吧.
同济六版,P167,例1.
你先看看,要打字出来还真是比较麻烦呢.
- 评论列表(网友评论仅供网友表达个人看法,并不表明本站同意其观点或证实其描述)
-
